【药物名称】Tizolemide, S-730704-B, Hoe-740
化学结构式(Chemical Structure):
参考文献No.67118
标题:Tizolemide
作者:Mealey, N.E.; Casta馿r, J.; Blancafort, P.; Lesson, P.A.; Serradell, M.N.
来源:Drugs Fut 1981,6(6),371
合成路线图解说明:

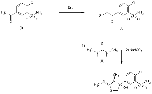
The bromination of 4-chloro-3-sulfamoyl acetophenone (I) with Br2 in ethyl acetate gives 4-chloro-3-sulfamoyl-alpha-bromoacetophenone (II), which is cyclized with N,N'-dimethylthiourea (III) in acetone and finally treated with NaHCO3 in water.

合成路线图解说明:

The bromination of 4-chloro-3-chlorosulfonylacetophenone (IV) with Br2 in ethyl acetate yields 4-chloro-3-chlorosulfonyl-alpha-bromoacetophenone (V), which is cyclized with N,N'-dimethylthiourea (III) affording 4-(4-chloro-3-chlorosulfonylphenyl)-3-methyl-2-(methylimino)-1,3-thiazolidin-4-ol (VI). Finally, this compound is treated with NH3 in methanol.

合成路线图解说明:

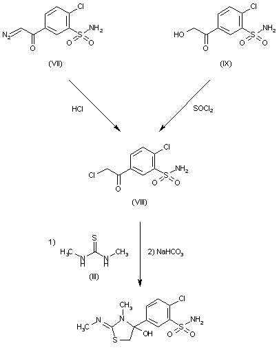
The reaction of 4-chloro-3-sulfamoyldiazoacetophenone (VII) with HCl in diglyme yields 4alpha-dichloro-3-sulfamoylacetophenone (VIII), which is cyclized with N,N'-dimethylthiourea (III) in acetone. Compound (VIII) can also be obtained by reaction of 4-chloro-3-sulfamoyl-alpha-hydroxyacetophenone (IX) with refluxing SOCl2.

参考文献No.701361
标题:
作者:Lang, H.J.; Muschaweck, R.
来源:US 4061761
合成路线图解说明:

The bromination of 4-chloro-3-sulfamoyl acetophenone (I) with Br2 in ethyl acetate gives 4-chloro-3-sulfamoyl-alpha-bromoacetophenone (II), which is cyclized with N,N'-dimethylthiourea (III) in acetone and finally treated with NaHCO3 in water.

合成路线图解说明:

The bromination of 4-chloro-3-chlorosulfonylacetophenone (IV) with Br2 in ethyl acetate yields 4-chloro-3-chlorosulfonyl-alpha-bromoacetophenone (V), which is cyclized with N,N'-dimethylthiourea (III) affording 4-(4-chloro-3-chlorosulfonylphenyl)-3-methyl-2-(methylimino)-1,3-thiazolidin-4-ol (VI). Finally, this compound is treated with NH3 in methanol.

合成路线图解说明:

The reaction of 4-chloro-3-sulfamoyldiazoacetophenone (VII) with HCl in diglyme yields 4alpha-dichloro-3-sulfamoylacetophenone (VIII), which is cyclized with N,N'-dimethylthiourea (III) in acetone. Compound (VIII) can also be obtained by reaction of 4-chloro-3-sulfamoyl-alpha-hydroxyacetophenone (IX) with refluxing SOCl2.

Drug Information Express,Drug R&D,Chemical Database,Patent Search.
Copyright © 2006-2026 Drug Future. All rights reserved.Contact Us