【药物名称】Timegadine, SR-1368
化学结构式(Chemical Structure):
参考文献No.67124
标题:Timegadine
作者:Blancafort, P.; Casta馿r, J.; Arrigoni-Martelli, E.; Serradell, M.N.
来源:Drugs Fut 1981,6(6),369
合成路线图解说明:

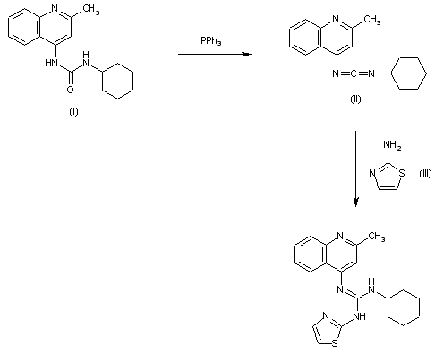
The dehydration of N-cyclohexyl-N'-(2-methyl-4-quinolyl)urea (I) with triphenylphosphine, CCl4 and triethylamine in refluxing methylene chloride gives N-cyclohexyl-N'-(2-methyl-4-quinolyl)carbodiimide (II), which is then condensed with 2-aminothiazole (III) in refluxing toluene.

参考文献No.607201
标题:Basic antiinflammatory compounds, N,N1,N2-trisubstituted guanidines
作者:Rachlin, S.; Bramm, E.; Ahnfelt-Ronne, I.; Arrigoni-Martelli, E.
来源:J Med Chem 1980,23(1),13-20
合成路线图解说明:

The dehydration of N-cyclohexyl-N'-(2-methyl-4-quinolyl)urea (I) with triphenylphosphine, CCl4 and triethylamine in refluxing methylene chloride gives N-cyclohexyl-N'-(2-methyl-4-quinolyl)carbodiimide (II), which is then condensed with 2-aminothiazole (III) in refluxing toluene.

参考文献No.701359
标题:
作者:
来源:DE 2847792
合成路线图解说明:

The dehydration of N-cyclohexyl-N'-(2-methyl-4-quinolyl)urea (I) with triphenylphosphine, CCl4 and triethylamine in refluxing methylene chloride gives N-cyclohexyl-N'-(2-methyl-4-quinolyl)carbodiimide (II), which is then condensed with 2-aminothiazole (III) in refluxing toluene.

Drug Information Express,Drug R&D,Chemical Database,Patent Search.
Copyright © 2006-2026 Drug Future. All rights reserved.Contact Us