【药物名称】Dienogest, MJR-35, M-18575, STS-557, Climodien(comb. with estradiol valerate), Klimodien(comb. with estradiol valerate), Valette(comb. with ethinyl estradiol), Endometrion
化学结构式(Chemical Structure):
参考文献No.46560
标题:Verfahren zur herstellung von steroiden mit einem 4,9-diensystem
作者:Huebner, M.; Menzenbach, B. (Akademie der Wissenschaften der DDR)
来源:DD 205170
合成路线图解说明:

The bromination of 17-alpha-cyanomethyl-17-beta-hydroxy-13-beta-methylgona-5(10)-ene-3-one (I) with polyvinylpyridinium bromide perbromide yields dibromide (II), which immediately debrominates to the final product.

参考文献No.67165
标题:STS-557
作者:Unterhalt, B.
来源:Drugs Fut 1980,5(6),311
合成路线图解说明:

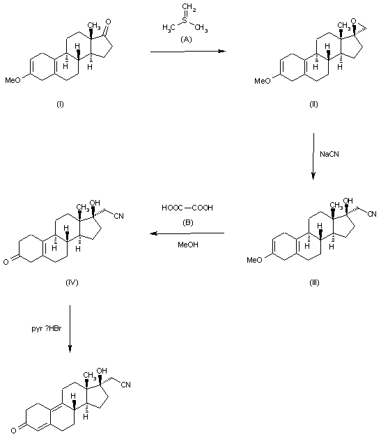
1,4-Dihydroestronemethylether (I) was reacted with dimethylsulfonium-methylide (A) in a highly stereoselective manner to give the oxirane (II), which formed the cyanomethyl compound (III) by the addition of sodium cyanide. (III) was hydrolyzed with oxalic acid (B) in methanol and the product (IV) treated with pyridine perbromide hydrobromide to the dibromoketone, which yielded STS-557 after dehydrobromination.

参考文献No.800233
标题:Synthesis and reactions of oxiranes obtained from 3- and 17-keto steroids
作者:Cook, C.E.; et al.
来源:J Org Chem 1968,332789
合成路线图解说明:

1,4-Dihydroestronemethylether (I) was reacted with dimethylsulfonium-methylide (A) in a highly stereoselective manner to give the oxirane (II), which formed the cyanomethyl compound (III) by the addition of sodium cyanide. (III) was hydrolyzed with oxalic acid (B) in methanol and the product (IV) treated with pyridine perbromide hydrobromide to the dibromoketone, which yielded STS-557 after dehydrobromination.

参考文献No.800234
标题:Ein vereinfachtes Verfahren zur Darstellung von Steroid-Spirooxiranen
作者:H黚ner, M.; et al.
来源:J Prakt Chem 1972,314667
合成路线图解说明:

1,4-Dihydroestronemethylether (I) was reacted with dimethylsulfonium-methylide (A) in a highly stereoselective manner to give the oxirane (II), which formed the cyanomethyl compound (III) by the addition of sodium cyanide. (III) was hydrolyzed with oxalic acid (B) in methanol and the product (IV) treated with pyridine perbromide hydrobromide to the dibromoketone, which yielded STS-557 after dehydrobromination.

参考文献No.800235
标题:Prostagene vom Typ 17alpha-CH2X-substituierter 19-Nortestossteronderivate
作者:Ponsold, K.; et al.
来源:Pharmazie 1978,33792
合成路线图解说明:

1,4-Dihydroestronemethylether (I) was reacted with dimethylsulfonium-methylide (A) in a highly stereoselective manner to give the oxirane (II), which formed the cyanomethyl compound (III) by the addition of sodium cyanide. (III) was hydrolyzed with oxalic acid (B) in methanol and the product (IV) treated with pyridine perbromide hydrobromide to the dibromoketone, which yielded STS-557 after dehydrobromination.

参考文献No.800236
标题:A new class of active steroids: the 19-nor-delta(4,9)-3-ketosteroids
作者:Perelman, M.; et al.
来源:J Am Chem Soc 1960,822402
合成路线图解说明:

1,4-Dihydroestronemethylether (I) was reacted with dimethylsulfonium-methylide (A) in a highly stereoselective manner to give the oxirane (II), which formed the cyanomethyl compound (III) by the addition of sodium cyanide. (III) was hydrolyzed with oxalic acid (B) in methanol and the product (IV) treated with pyridine perbromide hydrobromide to the dibromoketone, which yielded STS-557 after dehydrobromination.

Drug Information Express,Drug R&D,Chemical Database,Patent Search.
Copyright © 2006-2026 Drug Future. All rights reserved.Contact Us