【药物名称】Ciramadol, Wy-15705
化学结构式(Chemical Structure):
参考文献No.67156
标题:Ciramadol
作者:Paton, D.M.; Casta馿r, J.
来源:Drugs Fut 1980,5(6),283
合成路线图解说明:

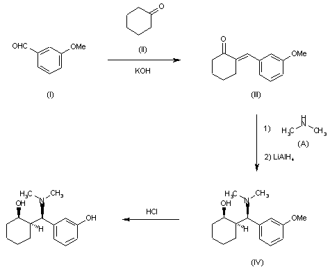
The condensation of m-methoxybenzaldehyde (I) with cyclohexanone (II) by means of KOH in refluxing water gives m-methoxybenzalcyclohexanone (III), which by reaction first with dimethylamine (A) in ether and then reduction with LiAlH4 in the same solvent affords cis-2-(alpha-dimethylamino-m-methoxybenzyl)cyclohexanol (IV). The hydrolysis of (IV) with HCl in isopropanol yields the racemic product, which is finally resolved into the corresponding optical isomers with tartaric acid.

参考文献No.701412
标题:
作者:Yardley, J.P.; Russell, P.B.
来源:US 3928626
合成路线图解说明:

The condensation of m-methoxybenzaldehyde (I) with cyclohexanone (II) by means of KOH in refluxing water gives m-methoxybenzalcyclohexanone (III), which by reaction first with dimethylamine (A) in ether and then reduction with LiAlH4 in the same solvent affords cis-2-(alpha-dimethylamino-m-methoxybenzyl)cyclohexanol (IV). The hydrolysis of (IV) with HCl in isopropanol yields the racemic product, which is finally resolved into the corresponding optical isomers with tartaric acid.

Drug Information Express,Drug R&D,Chemical Database,Patent Search.
Copyright © 2006-2026 Drug Future. All rights reserved.Contact Us