【药物名称】Nafazatrom, Bay-g-6575
化学结构式(Chemical Structure):
参考文献No.67245
标题:BAY-g-6575
作者:Prous, J.R.; Hillier, K.
来源:Drugs Fut 1979,4(6),396
合成路线图解说明:

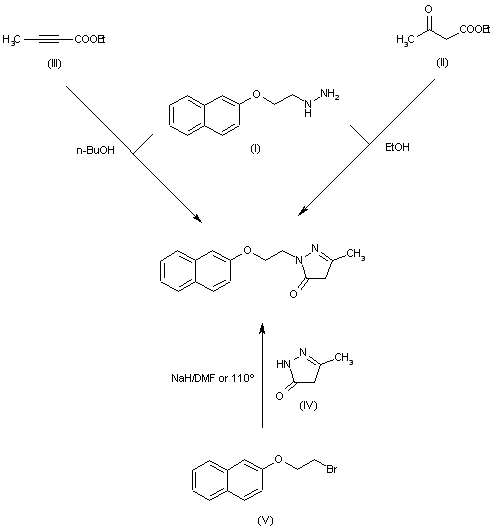
Compound can be prepared in three different ways: 1) By cyclization of 2-(2-naphthyloxy)ethylhydrazine (I) with ethyl acetoacetate (II) in refluxing ethanol. 2) By cyclization of 2-(2-naphthyloxy)ethylhydrazine (I) with tetrolic acid ethyl ester (III) in refluxing n-butanol. 3) By condensation of 3-methylpyrazol-5-one (IV) with 2-(2-naphthyloxy)ethyl bromide (V) by means of NaH in DMF or by heating at 110 C.

参考文献No.701457
标题:
作者:Moeller, E.; et al.
来源:US 4113957
合成路线图解说明:

Compound can be prepared in three different ways: 1) By cyclization of 2-(2-naphthyloxy)ethylhydrazine (I) with ethyl acetoacetate (II) in refluxing ethanol. 2) By cyclization of 2-(2-naphthyloxy)ethylhydrazine (I) with tetrolic acid ethyl ester (III) in refluxing n-butanol. 3) By condensation of 3-methylpyrazol-5-one (IV) with 2-(2-naphthyloxy)ethyl bromide (V) by means of NaH in DMF or by heating at 110 C.

Drug Information Express,Drug R&D,Chemical Database,Patent Search.
Copyright © 2006-2026 Drug Future. All rights reserved.Contact Us