【药物名称】Befuraline hydrochloride, DIV-154
化学结构式(Chemical Structure):
参考文献No.47586
标题:Cyclic diamine derivatives
作者:Soeder, A.; et al. (Aventis Pharma AG)
来源:DE 2157424; DE 2240665; ES 408565; FR 2160611; GB 1407854; US 4374990
合成路线图解说明:

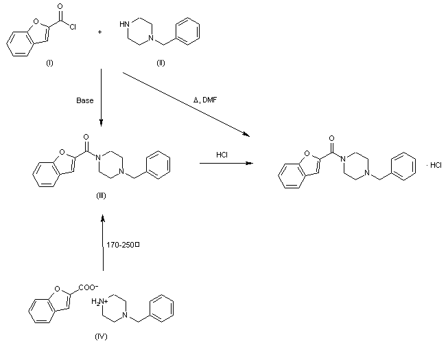
Coumarilic acid is reacted with N-benzylpiperazine (II) by two different ways: a) The acid chloride (I) is treated with (II) in the presence of a further base to give (III) or without a base in boiling dimethylformamide. b) The coumarilic acid salt of N-benzylpiperazine (IV) is converted to (III) by heating up to 170-250 C.

参考文献No.67146
标题:Befuraline Hydrochloride
作者:Unterhalt, B.
来源:Drugs Fut 1978,3(6),426
合成路线图解说明:

Coumarilic acid is reacted with N-benzylpiperazine (II) by two different ways: a) The acid chloride (I) is treated with (II) in the presence of a further base to give (III) or without a base in boiling dimethylformamide. b) The coumarilic acid salt of N-benzylpiperazine (IV) is converted to (III) by heating up to 170-250 C.

参考文献No.701500
标题:Synthesis and pharmacological activity of befuralline, a new antidepressnt compound
作者:Boksay, I.J.E.; et al.
来源:Arzneim-Forsch Drug Res 1978,28(19, Suppl. 2),
合成路线图解说明:

Coumarilic acid is reacted with N-benzylpiperazine (II) by two different ways: a) The acid chloride (I) is treated with (II) in the presence of a further base to give (III) or without a base in boiling dimethylformamide. b) The coumarilic acid salt of N-benzylpiperazine (IV) is converted to (III) by heating up to 170-250 C.

Drug Information Express,Drug R&D,Chemical Database,Patent Search.
Copyright © 2006-2026 Drug Future. All rights reserved.Contact Us