【药物名称】Sevoflurane, MR6S4, Ultane, Sevorane, Sevofrane
化学结构式(Chemical Structure):
参考文献No.46495
标题:Method of synthesizing fluoromethylhexafluoroisopropyl ether
作者:Coon, C.L.; Simon, R.L. (Baxter International Inc.)
来源:US 4469898
合成路线图解说明:

Compound is obtained by reaction of 1,1,1,3,3,3-hexafluoro-2-propanol (I) with formaldehyde and HF in hot sulfuric acid.

参考文献No.67108
标题:Sevoflurane
作者:Sungurbey, K.; Casta馿r, J.
来源:Drugs Fut 1976,1(6),307
合成路线图解说明:

1,1,1,3,3,3-Hexafluoro-2-propyl methyl ether (I) is photochlorinated with Cl2 giving 1,1,1,3,3,3-hexafluoro-2-propylchloromethyl ether (II), which is then fluorinated with KF in tetrahydrothiophene-1,1-dioxide.

参考文献No.228662
标题:Synthesis of fluoro-dideutero-methyl 1,1,1,3,3,3-hexafluoro-2-propyl ether (deuterated sevoflurane)
作者:Baker, M.T.; Chiang, C.-K.; Tinker, J.H.
来源:J Label Compd Radiopharm 1993,33(9),801
合成路线图解说明:

The synthesis of deuterated sevoflurane has been described: The methylation of 1,1,1,3,3,3-hexafluoroisopropanol (I) with deuterated dimethylsulfate by means of 10% aqueous NaOH yields the corresponding deuterated methyl ether (II), which is then fluorinated with BrF3.

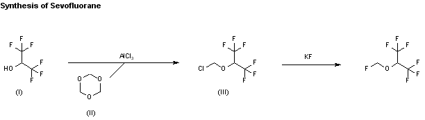
参考文献No.603212
标题:A safe and efficient process for the synthesis of the inhalation anesthetic sevoflurane
作者:Schure, R.M.; Behme, C.; Ramakrishma, K.; Bieniarz, C.
来源:Org Process Res Dev 2000,4(6),581
合成路线图解说明:

A new method for the preparation of sevoflurane has been described: Reaction of 1,1,1,3,3,3-hexafluoro-2-propanol (I) with 1,3,5-trioxane (II) and AlCl3 gives the chloromethyl ether (III), which is then fluorinated with KF in hot polyethylene glycol (PEG-400).

参考文献No.701123
标题:Halogenmethyl-1,3-polyhalogen-2-propyll鋞hen und Verfahren zu deren Herstellung sowie diese enthaltende An鋝thesie-Mittel
作者:Regan, B.M.; Longstreet, J.C.
来源:DE 1954268; FR 2021695; GB 1250928; NL 6916076
合成路线图解说明:

1,1,1,3,3,3-Hexafluoro-2-propyl methyl ether (I) is photochlorinated with Cl2 giving 1,1,1,3,3,3-hexafluoro-2-propylchloromethyl ether (II), which is then fluorinated with KF in tetrahydrothiophene-1,1-dioxide.

Drug Information Express,Drug R&D,Chemical Database,Patent Search.
Copyright © 2006-2026 Drug Future. All rights reserved.Contact Us