【药物名称】Linogliride, McN-3935
化学结构式(Chemical Structure):
参考文献No.45888
标题:Nitrogen heterocyclic carboximidamide compounds
作者:Rasmussen, C.R. (Ortho-McNeil Pharmaceutical, Inc.)
来源:US 4211867
合成路线图解说明:

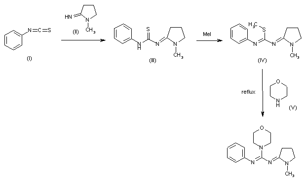
The reaction of phenyl isothiocyanate (I) with 2-imino-1-methyl pyrrolidine (II) in benzene gives N-(1-methyl-2-pyrrolidinylidene)-N'-phenylthiourea (III), which is treated with iodomethane in refluxing acetone to afford methyl N-1-methyl-2-pyrrolidinylidene)-N'-phenylcarbamidothioate (IV). Finally, this compound is treated with morpholine in refluxing isopropanol.

参考文献No.65227
标题:Linogliride
作者:Casta馿r, J.; Serradell, M.N.
来源:Drugs Fut 1986,11(4),265
合成路线图解说明:

The reaction of phenyl isothiocyanate (I) with 2-imino-1-methyl pyrrolidine (II) in benzene gives N-(1-methyl-2-pyrrolidinylidene)-N'-phenylthiourea (III), which is treated with iodomethane in refluxing acetone to afford methyl N-1-methyl-2-pyrrolidinylidene)-N'-phenylcarbamidothioate (IV). Finally, this compound is treated with morpholine in refluxing isopropanol.

Drug Information Express,Drug R&D,Chemical Database,Patent Search.
Copyright © 2006-2026 Drug Future. All rights reserved.Contact Us