【药物名称】Ipsalazide(Rec INN, BAN), BX-650A
化学结构式(Chemical Structure):
参考文献No.65773
标题:Balsalazide and Ipsalazide
作者:Casta馿r, J.; Serradell, M.N.
来源:Drugs Fut 1984,9(5),313
合成路线图解说明:

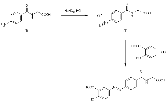
The diazotation of 4-aminohippuric acid (I) with NaNO2 and HCl gives the corresponding diazonium salt (II), which is then condensed with salicylic acid.

参考文献No.701158
标题:2-Hydroxy-5-phenylazobenzoic acid derivatives and method of treating ulcerative colitis therewith
作者:Chan, R.P.K.
来源:DE 3128819; FR 2493312; JP 57053449; US 4412992
合成路线图解说明:

The diazotation of 4-aminohippuric acid (I) with NaNO2 and HCl gives the corresponding diazonium salt (II), which is then condensed with salicylic acid.

Drug Information Express,Drug R&D,Chemical Database,Patent Search.
Copyright © 2006-2026 Drug Future. All rights reserved.Contact Us