【药物名称】Balsalazide disodium, BX-661A, Balzide, Colazal, Colazide
化学结构式(Chemical Structure):
参考文献No.39877
标题:2-Hydroxy-5-phenylazobenzoic acid derivatives and method of treating ulcerative colitis therewith
作者:Chan, R.P.K. (Biorex Laboratories Ltd.)
来源:GB 2080796
合成路线图解说明:

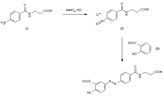
The diazotation of 3-(4-aminobenzoylamino)propionic acid (I) with NaNO2 and HCl gives the corresponding diazonium salt (II), which is then condensed with salicylic acid.

参考文献No.65724
标题:Balsalazide and Ipsalazide
作者:Serradell, M.N.; Casta馿r, J.
来源:Drugs Fut 1984,9(5),313
合成路线图解说明:

The diazotation of 3-(4-aminobenzoylamino)propionic acid (I) with NaNO2 and HCl gives the corresponding diazonium salt (II), which is then condensed with salicylic acid.

Drug Information Express,Drug R&D,Chemical Database,Patent Search.
Copyright © 2006-2026 Drug Future. All rights reserved.Contact Us