【药物名称】Laurocapram, N-0252, TraZone, Azone
化学结构式(Chemical Structure):
参考文献No.49364
标题:Trisubstd. oxazole derivs. as serotonin ligands
作者:Kelly, M.G.; Greenblatt, L.P.; Nelson, F.C. (American Home Products Corp.)
来源:US 6242448
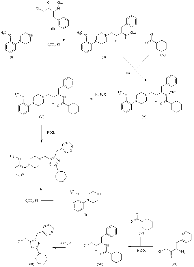
合成路线图解说明:

By condensation of azacycloheptan-2-one (I) with 1-bromododecane (II) by means of NaH in refluxing toluene.

合成路线图解说明:

Coupling of piperazine (I) with chloro derivative (II) by means of K2CO3 and KI in acetone affords protected compound (III), which is then condensed with acid chloride (IV) by means of n-BuLi in THF to yield amide (V). Deprotection of (V) by hydrogenation over Pd/C in EtOH provides (VI), which is finally cyclized by treatment with POCl3 in DMF. Alternatively, the synthesis of the target product can be achieved by an analogous route: Acylation of amine (VII) with acid chloride (IV) by means of K2CO3 in CH2Cl2 provides amide (VIII), which is then cyclized by heating with POCl3 in DMF/benzene to give oxazole (IX). Finally, (IX) is condensed with piperazine (I) by means of K2CO3 and KI in acetone.

参考文献No.701160
标题:Method for improved plant pest control
作者:Rajadhyaksha, V.J.
来源:CA 1189338; EP 0077078; JP 58074601
合成路线图解说明:

By condensation of azacycloheptan-2-one (I) with 1-bromododecane (II) by means of NaH in refluxing toluene.

参考文献No.701161
标题:Method of treatment of inflammation
作者:Nelson, E.L.
来源:EP 0060970; JP 57142918; US 4310525
合成路线图解说明:

By condensation of azacycloheptan-2-one (I) with 1-bromododecane (II) by means of NaH in refluxing toluene.

Drug Information Express,Drug R&D,Chemical Database,Patent Search.
Copyright © 2006-2026 Drug Future. All rights reserved.Contact Us