【药物名称】Atrimustine, Busramustine, Bestrabucil, KM-2210, Kregan
化学结构式(Chemical Structure):
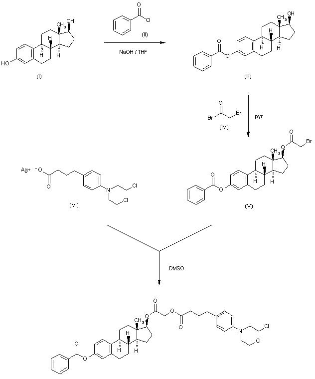
参考文献No.65800
标题:KM-2210
作者:Casta馿r, J.; Serradell, M.N.
来源:Drugs Fut 1984,9(5),334
合成路线图解说明:

The benzoylation of 1,3,5(10)-estratrien-3,17beta-diol (I) with benzoyl chloride (II) by means of NaOH in THF-water gives 3-benzoyloxy-1,3,5(10)-estratrien-17beta-ol (III), which is acylated with bromoacetyl bromide (IV) by means of pyridine in THF-CCl4 yielding 3-benzoyloxy-17beta-bromoacetoxy 1,3,5(10)-estratriene (V). Finally, this compound is condensed with silver 4-[4-[bis(2-chloroethyl)amino]phenyl]butyrate (VI) in DMSO.

参考文献No.701153
标题:Novel estradiol compound, its preparation and anti-tumor agent containing the same
作者:Asano, K.; Tamura, H.; Tanaka, H.; Enomoto, S.
来源:BE 0878186; JP 55027121
合成路线图解说明:

The benzoylation of 1,3,5(10)-estratrien-3,17beta-diol (I) with benzoyl chloride (II) by means of NaOH in THF-water gives 3-benzoyloxy-1,3,5(10)-estratrien-17beta-ol (III), which is acylated with bromoacetyl bromide (IV) by means of pyridine in THF-CCl4 yielding 3-benzoyloxy-17beta-bromoacetoxy 1,3,5(10)-estratriene (V). Finally, this compound is condensed with silver 4-[4-[bis(2-chloroethyl)amino]phenyl]butyrate (VI) in DMSO.

Drug Information Express,Drug R&D,Chemical Database,Patent Search.
Copyright © 2006-2026 Drug Future. All rights reserved.Contact Us