【药物名称】Cloxacepride
化学结构式(Chemical Structure):
参考文献No.65754
标题:Cloxacepride
作者:Serradell, M.N.; Casta馿r, J.
来源:Drugs Fut 1984,9(5),322
合成路线图解说明:

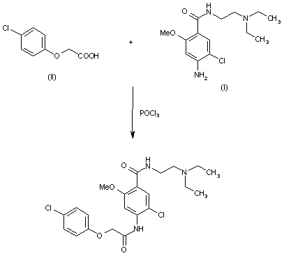
By acylation of metoclopramide (I) with 2-(4-chlorophenoxy)acetic acid (II) by means of POCl3 in refluxing chloroform.

参考文献No.607678
标题:Cloxacepride and related compounds: A new series of orally active antiallergic compounds
作者:Metz, G.; Pindell, M.H.; Chen, H.L.
来源:J Med Chem 1983,26(7),1065-70
合成路线图解说明:

By acylation of metoclopramide (I) with 2-(4-chlorophenoxy)acetic acid (II) by means of POCl3 in refluxing chloroform.

参考文献No.701159
标题:Anti-inlammatory N-acyl substituted benzamides
作者:Metz, G.; Specker, M.
来源:BE 0854683; CH 633259; DE 2623228; FR 2352791; GB 1555723; US 4146637
合成路线图解说明:

By acylation of metoclopramide (I) with 2-(4-chlorophenoxy)acetic acid (II) by means of POCl3 in refluxing chloroform.

Drug Information Express,Drug R&D,Chemical Database,Patent Search.
Copyright © 2006-2026 Drug Future. All rights reserved.Contact Us