【药物名称】CGP-11112
化学结构式(Chemical Structure):
参考文献No.65756
标题:CGP-11112
作者:Serradell, M.N.; Casta馿r, J.; Thorpe, P.J.
来源:Drugs Fut 1984,9(5),315
合成路线图解说明:

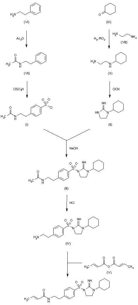
The condensation of 4-[2-(acetylamino)ethyl]benzenesulfonyl chloride (I) with 1-cyclohexyl-2-iminoimidazolidine (III) by means of NaOH in refluxing acetone gives 1-[[4-(2-acetamidoethyl)phenyl]sulfonyl]-3-cyclohexyl-2-iminoimidazolidine (III), which is hydrolyzed with refluxing 2N HCl yielding 1-[[4-(2-aminoethyl)phenyl]sulfonyl]-3-cyclohexyl-2-iminoimidazolidine (IV). Finally, this compound is acylated with crotonic anhydride (V) in dioxane. The starting products (I) and (II) are obtained as follows: 1) The acetylation of 2-phenylethylamine (VI) with acetic anhydride gives N-(2-phenylethyl)acetamide (VII), which is sulfonated with chlorosulfonic acid yielding compound (I). 2) The reductocondensation of cyclohexanone (IX) with ethylenediamine (VIII) gives N-cyclohexylethylenediamine (X), which is then cyclized with cyanogen chloride to compound (II).

参考文献No.607677
标题:Sulfonyliminoimidazolidines. A new clas of oral hypoglycemic agents. I. 1-[[p-[2-(Acylamino)ethyl]phenyl]sulfonyl]-2-iminoimidazolidies
作者:Schweizer, E.H.; M鋜ki, F.; Lehmann, C.; Dietrich, H.
来源:J Med Chem 1983,26(7),964-970
合成路线图解说明:

The condensation of 4-[2-(acetylamino)ethyl]benzenesulfonyl chloride (I) with 1-cyclohexyl-2-iminoimidazolidine (III) by means of NaOH in refluxing acetone gives 1-[[4-(2-acetamidoethyl)phenyl]sulfonyl]-3-cyclohexyl-2-iminoimidazolidine (III), which is hydrolyzed with refluxing 2N HCl yielding 1-[[4-(2-aminoethyl)phenyl]sulfonyl]-3-cyclohexyl-2-iminoimidazolidine (IV). Finally, this compound is acylated with crotonic anhydride (V) in dioxane. The starting products (I) and (II) are obtained as follows: 1) The acetylation of 2-phenylethylamine (VI) with acetic anhydride gives N-(2-phenylethyl)acetamide (VII), which is sulfonated with chlorosulfonic acid yielding compound (I). 2) The reductocondensation of cyclohexanone (IX) with ethylenediamine (VIII) gives N-cyclohexylethylenediamine (X), which is then cyclized with cyanogen chloride to compound (II).

Drug Information Express,Drug R&D,Chemical Database,Patent Search.
Copyright © 2006-2026 Drug Future. All rights reserved.Contact Us