【药物名称】Ro-136298
化学结构式(Chemical Structure):
参考文献No.47221
标题:Stilbene derivs.
作者:Loeliger, P. (Hoffmann-La Roche, Inc.)
来源:US 4326055
合成路线图解说明:

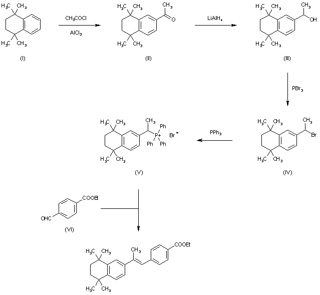
The Friedel Kraft's acylation of 1,2,3,4-tetrahydro-1,1,4,4-tetramethylnaphthalene (I) with acetyl chloride by means of AlCl3 in nitrobenzene gives 2-acetyl-5,6,7,8-tetrahydro-5,5,8,8-tetramethylnaphthalene (II), which is reduced with LiAlH4 in ether yielding 5,6,7,8-tetrahydro-alpha,5,5,8,8-pentamethylnaphthalene-2-methanol (III), The reaction of (III) with PBr3 in ether - hexane affords 2-(1-bromoethyl)-5,6,7,8-tetrahydro-5,5,8,8-tetramethylnaphthalene (IV), which by reaction with triphenylphosphine in hot xylene is converted into [1-(5,6,7,8-tetrahydro-5,5,8,8-tetramethyl-2-naphthyl)ethyl]triphenylphosphonium bromide (V). Finally, this compound is submitted to a Wittig condensation with ethyl 4-formylbenzoate (VI) in hot butylene oxide.

参考文献No.65701
标题:RO-13-6298
作者:Blancafort, P.; Hopkins, S.J.; Serradell, M.N.; Casta馿r, J.
来源:Drugs Fut 1983,8(5),432
合成路线图解说明:

The Friedel Kraft's acylation of 1,2,3,4-tetrahydro-1,1,4,4-tetramethylnaphthalene (I) with acetyl chloride by means of AlCl3 in nitrobenzene gives 2-acetyl-5,6,7,8-tetrahydro-5,5,8,8-tetramethylnaphthalene (II), which is reduced with LiAlH4 in ether yielding 5,6,7,8-tetrahydro-alpha,5,5,8,8-pentamethylnaphthalene-2-methanol (III), The reaction of (III) with PBr3 in ether - hexane affords 2-(1-bromoethyl)-5,6,7,8-tetrahydro-5,5,8,8-tetramethylnaphthalene (IV), which by reaction with triphenylphosphine in hot xylene is converted into [1-(5,6,7,8-tetrahydro-5,5,8,8-tetramethyl-2-naphthyl)ethyl]triphenylphosphonium bromide (V). Finally, this compound is submitted to a Wittig condensation with ethyl 4-formylbenzoate (VI) in hot butylene oxide.

参考文献No.800355
标题:Arotinoids, a new class of highly active retinoids
作者:Mayer, H.; Loeliger, P.; Bollag, W.
来源:Eur J Med Chem - Chim Ther 1980,15(1),9-15
合成路线图解说明:

The Friedel Kraft's acylation of 1,2,3,4-tetrahydro-1,1,4,4-tetramethylnaphthalene (I) with acetyl chloride by means of AlCl3 in nitrobenzene gives 2-acetyl-5,6,7,8-tetrahydro-5,5,8,8-tetramethylnaphthalene (II), which is reduced with LiAlH4 in ether yielding 5,6,7,8-tetrahydro-alpha,5,5,8,8-pentamethylnaphthalene-2-methanol (III), The reaction of (III) with PBr3 in ether - hexane affords 2-(1-bromoethyl)-5,6,7,8-tetrahydro-5,5,8,8-tetramethylnaphthalene (IV), which by reaction with triphenylphosphine in hot xylene is converted into [1-(5,6,7,8-tetrahydro-5,5,8,8-tetramethyl-2-naphthyl)ethyl]triphenylphosphonium bromide (V). Finally, this compound is submitted to a Wittig condensation with ethyl 4-formylbenzoate (VI) in hot butylene oxide.

Drug Information Express,Drug R&D,Chemical Database,Patent Search.
Copyright © 2006-2026 Drug Future. All rights reserved.Contact Us