【药物名称】Nosantine, NPT-15392
化学结构式(Chemical Structure):
参考文献No.47219
标题:9-(Hydroxy alkyl)purines
作者:Giner-Sorolla, A. (Newport Pharmaceuticals International Inc.; Sloan-Kettering Institute)
来源:US 4221910
合成路线图解说明:

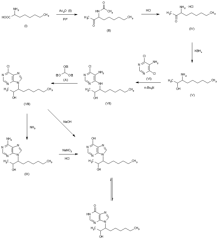
This compound can be obtained by two related ways: 1) The condensation of 2-aminooctanoic acid (I) with acetic anhydride in pyridine at 100 C gives 3-acetamidononan-2-one (III), which is hydrolyzed with refluxing aqueous concentrated HCl yielding 3-aminononan-2-one hydrochloride (IV). The reduction of (IV) with NaBH4 in methanol affords 3-amino-2-nonanol (V), which is condensed with 4,6-dichloro-5-aminopyrimidine (VI) by means of tributylamine in refluxing pentanol giving 5-amino-6-(2-hydroxy-3-nonylamino)-4-chloropyrimidine (VII). The cyclization of (VII) with ethyl orthoformate (A) by means of ethanesulfonic acid in refluxing CHCl3 affords 9-(2-hydroxy-3-nonyl)-6-chloropurine (VIII), which is finally hydrolyzed with refluxing aqueous 0.5 N NaOH. 2) The chloropurine (VIII) is treated with methanolic NH3 at 80-100 C in a pressure vessel to give 9-(2-hydroxy-3-nonyl)adenine (IX), which is then treated with NaNO2 in acetic acid aqueous HCl.

参考文献No.47220
标题:Method of imparting immunomodulating and antiviral activity
作者:Simon, L.N.; Hadden, J.W. (Newport Pharmaceuticals International Inc.; Sloan-Kettering Institute)
来源:US 4221794
合成路线图解说明:

This compound can be obtained by two related ways: 1) The condensation of 2-aminooctanoic acid (I) with acetic anhydride in pyridine at 100 C gives 3-acetamidononan-2-one (III), which is hydrolyzed with refluxing aqueous concentrated HCl yielding 3-aminononan-2-one hydrochloride (IV). The reduction of (IV) with NaBH4 in methanol affords 3-amino-2-nonanol (V), which is condensed with 4,6-dichloro-5-aminopyrimidine (VI) by means of tributylamine in refluxing pentanol giving 5-amino-6-(2-hydroxy-3-nonylamino)-4-chloropyrimidine (VII). The cyclization of (VII) with ethyl orthoformate (A) by means of ethanesulfonic acid in refluxing CHCl3 affords 9-(2-hydroxy-3-nonyl)-6-chloropurine (VIII), which is finally hydrolyzed with refluxing aqueous 0.5 N NaOH. 2) The chloropurine (VIII) is treated with methanolic NH3 at 80-100 C in a pressure vessel to give 9-(2-hydroxy-3-nonyl)adenine (IX), which is then treated with NaNO2 in acetic acid aqueous HCl.

参考文献No.65713
标题:NPT-15,392
作者:Serradell, M.N.; Blancafort, P.; Casta馿r, J.; Arrigoni-Martelli, E.
来源:Drugs Fut 1983,8(5),420
合成路线图解说明:

This compound can be obtained by two related ways: 1) The condensation of 2-aminooctanoic acid (I) with acetic anhydride in pyridine at 100 C gives 3-acetamidononan-2-one (III), which is hydrolyzed with refluxing aqueous concentrated HCl yielding 3-aminononan-2-one hydrochloride (IV). The reduction of (IV) with NaBH4 in methanol affords 3-amino-2-nonanol (V), which is condensed with 4,6-dichloro-5-aminopyrimidine (VI) by means of tributylamine in refluxing pentanol giving 5-amino-6-(2-hydroxy-3-nonylamino)-4-chloropyrimidine (VII). The cyclization of (VII) with ethyl orthoformate (A) by means of ethanesulfonic acid in refluxing CHCl3 affords 9-(2-hydroxy-3-nonyl)-6-chloropurine (VIII), which is finally hydrolyzed with refluxing aqueous 0.5 N NaOH. 2) The chloropurine (VIII) is treated with methanolic NH3 at 80-100 C in a pressure vessel to give 9-(2-hydroxy-3-nonyl)adenine (IX), which is then treated with NaNO2 in acetic acid aqueous HCl.

Drug Information Express,Drug R&D,Chemical Database,Patent Search.
Copyright © 2006-2026 Drug Future. All rights reserved.Contact Us