【药物名称】Metahexestrol, NSC-297170, 3,3'-HES
化学结构式(Chemical Structure):
参考文献No.47224
标题:Novel di-(3'-hydroxyphenyl)-alkane cpds., process of preparation and their use in medicine
作者:Sch鰊enberger, H.; Kranfelder, G.; Schmitt-Wallenborn, H. (Klinge Pharma GmbH)
来源:DE 2658307; US 4094994
合成路线图解说明:

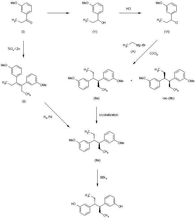
The synthesis of 3,4-bis(3'-methoxyphenyl)hexane (III) was accomplished in two different ways: 1) Reductive coupling of the 3-methoxypropiophenone (I) using the TiCl4/Zn reaction -- introduced by Mukaiyama et al. -- yields preferably the cis-stilbene (II). Catalytic hydrogenation of this alkene using palladium on activated carbon results in the isomerically pure meso-3,4-bis(3'-methoxyphenyl)hexane (III). 2) The reductive coupling of the 1-(3'-methoxyphenyl)-1-chloropropane (VI), obtained from 1-(3-methoxyphenyl)propanol (V) with dry HCl, according to Wilds and McCormack using COCl2 and ethylmagnesium bromide (A) yields mixture of the meso- and di-3,4-bis(3'-methoxyphenyl)hexanes (III). The meso-diastereomer (III) is separated by fractional crystallization from methanol. The ether cleavage of (III) to give 3,4-bis(3'-hydroxyphenyl)hexane is accomplished with BBr3.

参考文献No.65718
标题:Metahexestrol
作者:Sch鰊enberger, H.; Engel, J.; Hartmann, R.W.
来源:Drugs Fut 1983,8(5),413
合成路线图解说明:

The synthesis of 3,4-bis(3'-methoxyphenyl)hexane (III) was accomplished in two different ways: 1) Reductive coupling of the 3-methoxypropiophenone (I) using the TiCl4/Zn reaction -- introduced by Mukaiyama et al. -- yields preferably the cis-stilbene (II). Catalytic hydrogenation of this alkene using palladium on activated carbon results in the isomerically pure meso-3,4-bis(3'-methoxyphenyl)hexane (III). 2) The reductive coupling of the 1-(3'-methoxyphenyl)-1-chloropropane (VI), obtained from 1-(3-methoxyphenyl)propanol (V) with dry HCl, according to Wilds and McCormack using COCl2 and ethylmagnesium bromide (A) yields mixture of the meso- and di-3,4-bis(3'-methoxyphenyl)hexanes (III). The meso-diastereomer (III) is separated by fractional crystallization from methanol. The ether cleavage of (III) to give 3,4-bis(3'-hydroxyphenyl)hexane is accomplished with BBr3.

参考文献No.171684
标题:Pentasubstituted quercetin analogues as selective inhibitors of particulate 3':5'-cyclic-AMP phosphodiesterase from rat brain
作者:Picq, M.; Prigent, A.F.; Nemoz, G.; Andre, A.C.; Pacheco, H.
来源:J Med Chem 1982,24(10),1192-97
合成路线图解说明:

The synthesis of 3,4-bis(3'-methoxyphenyl)hexane (III) was accomplished in two different ways: 1) Reductive coupling of the 3-methoxypropiophenone (I) using the TiCl4/Zn reaction -- introduced by Mukaiyama et al. -- yields preferably the cis-stilbene (II). Catalytic hydrogenation of this alkene using palladium on activated carbon results in the isomerically pure meso-3,4-bis(3'-methoxyphenyl)hexane (III). 2) The reductive coupling of the 1-(3'-methoxyphenyl)-1-chloropropane (VI), obtained from 1-(3-methoxyphenyl)propanol (V) with dry HCl, according to Wilds and McCormack using COCl2 and ethylmagnesium bromide (A) yields mixture of the meso- and di-3,4-bis(3'-methoxyphenyl)hexanes (III). The meso-diastereomer (III) is separated by fractional crystallization from methanol. The ether cleavage of (III) to give 3,4-bis(3'-hydroxyphenyl)hexane is accomplished with BBr3.

参考文献No.701253
标题:
作者:Resende, C.; Barros, L.; Mota, A.; Barros, M.A.; Veloso, T.; Mesquita-Guimaraes, J.; Cunha, A.P.
来源:J Cancer Res Clin Oncol 1982,103(Suppl. 1),165-180
合成路线图解说明:

The synthesis of 3,4-bis(3'-methoxyphenyl)hexane (III) was accomplished in two different ways: 1) Reductive coupling of the 3-methoxypropiophenone (I) using the TiCl4/Zn reaction -- introduced by Mukaiyama et al. -- yields preferably the cis-stilbene (II). Catalytic hydrogenation of this alkene using palladium on activated carbon results in the isomerically pure meso-3,4-bis(3'-methoxyphenyl)hexane (III). 2) The reductive coupling of the 1-(3'-methoxyphenyl)-1-chloropropane (VI), obtained from 1-(3-methoxyphenyl)propanol (V) with dry HCl, according to Wilds and McCormack using COCl2 and ethylmagnesium bromide (A) yields mixture of the meso- and di-3,4-bis(3'-methoxyphenyl)hexanes (III). The meso-diastereomer (III) is separated by fractional crystallization from methanol. The ether cleavage of (III) to give 3,4-bis(3'-hydroxyphenyl)hexane is accomplished with BBr3.

参考文献No.701254
标题:
作者:El-Ashmawi, N.; Abdel-Samad, Z.; Sallam, F.; Nassar, S.; Gamae, M.
来源:Chem Lett 1973,16(Suppl. 1),1041-44
合成路线图解说明:

The synthesis of 3,4-bis(3'-methoxyphenyl)hexane (III) was accomplished in two different ways: 1) Reductive coupling of the 3-methoxypropiophenone (I) using the TiCl4/Zn reaction -- introduced by Mukaiyama et al. -- yields preferably the cis-stilbene (II). Catalytic hydrogenation of this alkene using palladium on activated carbon results in the isomerically pure meso-3,4-bis(3'-methoxyphenyl)hexane (III). 2) The reductive coupling of the 1-(3'-methoxyphenyl)-1-chloropropane (VI), obtained from 1-(3-methoxyphenyl)propanol (V) with dry HCl, according to Wilds and McCormack using COCl2 and ethylmagnesium bromide (A) yields mixture of the meso- and di-3,4-bis(3'-methoxyphenyl)hexanes (III). The meso-diastereomer (III) is separated by fractional crystallization from methanol. The ether cleavage of (III) to give 3,4-bis(3'-hydroxyphenyl)hexane is accomplished with BBr3.

参考文献No.701255
标题:
作者:Hitova, M.; Kouzeva, V.
来源:J Org Chem 1949,14(Suppl. 1),45-58
合成路线图解说明:

The synthesis of 3,4-bis(3'-methoxyphenyl)hexane (III) was accomplished in two different ways: 1) Reductive coupling of the 3-methoxypropiophenone (I) using the TiCl4/Zn reaction -- introduced by Mukaiyama et al. -- yields preferably the cis-stilbene (II). Catalytic hydrogenation of this alkene using palladium on activated carbon results in the isomerically pure meso-3,4-bis(3'-methoxyphenyl)hexane (III). 2) The reductive coupling of the 1-(3'-methoxyphenyl)-1-chloropropane (VI), obtained from 1-(3-methoxyphenyl)propanol (V) with dry HCl, according to Wilds and McCormack using COCl2 and ethylmagnesium bromide (A) yields mixture of the meso- and di-3,4-bis(3'-methoxyphenyl)hexanes (III). The meso-diastereomer (III) is separated by fractional crystallization from methanol. The ether cleavage of (III) to give 3,4-bis(3'-hydroxyphenyl)hexane is accomplished with BBr3.

Drug Information Express,Drug R&D,Chemical Database,Patent Search.
Copyright © 2006-2026 Drug Future. All rights reserved.Contact Us