【药物名称】B-77781
化学结构式(Chemical Structure):
参考文献No.47217
标题:Anti-depressant and analgesic 4-phenoxypiperidines
作者:Eistetter, K.; Kley, H.-P.; Menge, H.G.; Schaefer, H. (Byk Gulden Lomberg Chemische Fabrik GmbH)
来源:US 4333942
合成路线图解说明:

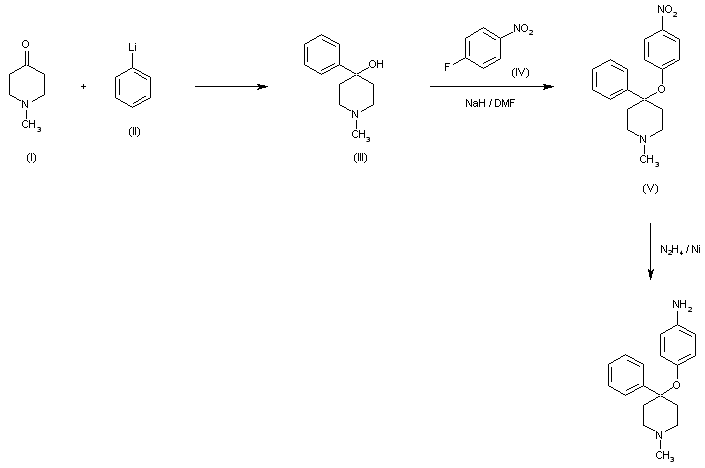
Reaction of 1-methyl-4-piperidone (I) with phenyllithium (II) gives 1-methyl-4-phenyl-4-piperidinol (III), which is alkylated with (IV) in NaH/DMF to yield (V), followed by reduction with hydrazine/Raney-Ni.

参考文献No.65796
标题:B-777-81
作者:Menge, H.G.; Eistetter, K.; Schaefer, H.; Kley, H.-P.
来源:Drugs Fut 1983,8(5),387
合成路线图解说明:

Reaction of 1-methyl-4-piperidone (I) with phenyllithium (II) gives 1-methyl-4-phenyl-4-piperidinol (III), which is alkylated with (IV) in NaH/DMF to yield (V), followed by reduction with hydrazine/Raney-Ni.

Drug Information Express,Drug R&D,Chemical Database,Patent Search.
Copyright © 2006-2026 Drug Future. All rights reserved.Contact Us