【药物名称】Tinazoline hydrohloride, C-7996B-Go, Varsyl
化学结构式(Chemical Structure):
参考文献No.46759
标题:Condensed pyrrole mercapto compounds
作者:Arya, V.P.; Nagarajan, K. (Novartis Corp.)
来源:DE 2427207; FR 2233047; JP 50035160; US 3954757
合成路线图解说明:

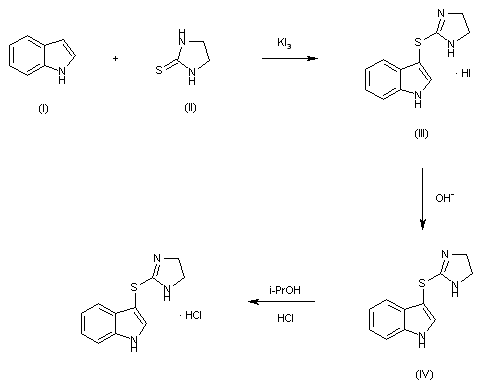
Oxidative coupling of indole (I) and ethylenethiourea (II) with iodine and potassium iodide affords the hydroiodide salt (III) in 89% yield. The hydroiodide salt is converted into the hydrochloride salt on an ion exchange column or through the base.

参考文献No.65683
标题:Tinazoline hydrochloride
作者:Arya, V.P.
来源:Drugs Fut 1982,7(5),325
合成路线图解说明:

Oxidative coupling of indole (I) and ethylenethiourea (II) with iodine and potassium iodide affords the hydroiodide salt (III) in 89% yield. The hydroiodide salt is converted into the hydrochloride salt on an ion exchange column or through the base.

参考文献No.800188
标题:Derivatives of 3-mercaptoindole - Synthesis of a potent vasoconstrictor, 3-(2-imidazolin-2-ylthio)indole(tinazole)
作者:Shah, .K.; Nagarajan, K.; Arya, V.P.; Parthasarathy, T.N.; Shenoy, S.J.; Kulkarni, Y.S.
来源:Indian J Med 1981,20B672-679
合成路线图解说明:

Oxidative coupling of indole (I) and ethylenethiourea (II) with iodine and potassium iodide affords the hydroiodide salt (III) in 89% yield. The hydroiodide salt is converted into the hydrochloride salt on an ion exchange column or through the base.

Drug Information Express,Drug R&D,Chemical Database,Patent Search.
Copyright © 2006-2026 Drug Future. All rights reserved.Contact Us