【药物名称】Itazogrel, Itazigrel, U-53059, TFT
化学结构式(Chemical Structure):
参考文献No.65726
标题:TFT
作者:Serradell, M.N.; Casta馿r, J.; Blancafort, P.
来源:Drugs Fut 1982,7(5),323
合成路线图解说明:

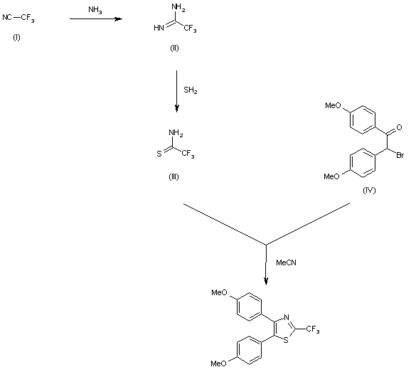
The amonolysis of trifluoroacetonitrile (I) in refluxing liquid ammonia gives trifluoroacetamidine (II), which by reaction with SH2 in ether is converted into trifluorothioacetamide (III). Finally, this compound is cyclized with p-methoxy-alpha-bromo-alpha-(p-methoxyphenyl)acetophenone (IV) in refluxing acetonitrile.

参考文献No.701304
标题:
作者:Rynbrandt, R.H.; Nishizawa, E.E.
来源:US 4168315
合成路线图解说明:

The amonolysis of trifluoroacetonitrile (I) in refluxing liquid ammonia gives trifluoroacetamidine (II), which by reaction with SH2 in ether is converted into trifluorothioacetamide (III). Finally, this compound is cyclized with p-methoxy-alpha-bromo-alpha-(p-methoxyphenyl)acetophenone (IV) in refluxing acetonitrile.

Drug Information Express,Drug R&D,Chemical Database,Patent Search.
Copyright © 2006-2026 Drug Future. All rights reserved.Contact Us