【药物名称】CAM
化学结构式(Chemical Structure):
参考文献No.65767
标题:CAM
作者:Serradell, M.N.; Casta馿r, J.; Blancafort, P.; Hillier, K.
来源:Drugs Fut 1981,6(5),272
合成路线图解说明:

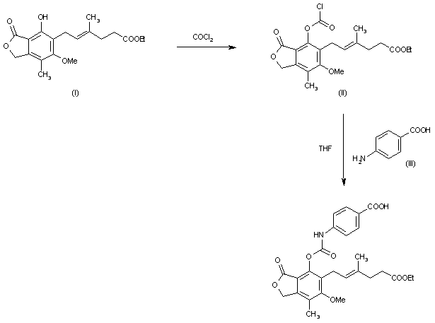
The reaction of ethyl mycophenolate (I) with phosgene in benzene gives ethyl 5-(4'-chloroformyloxy-6'-methoxy-7'-methyl-3'-oxo-5'-phthalanyl)-3-methyl-3-penten-1-carboxylate (II), which is then condensed with p-aminobenzoic acid (III) in THF.

参考文献No.701362
标题:
作者:Mori, T.; et al.
来源:DE 2237549
合成路线图解说明:

The reaction of ethyl mycophenolate (I) with phosgene in benzene gives ethyl 5-(4'-chloroformyloxy-6'-methoxy-7'-methyl-3'-oxo-5'-phthalanyl)-3-methyl-3-penten-1-carboxylate (II), which is then condensed with p-aminobenzoic acid (III) in THF.

Drug Information Express,Drug R&D,Chemical Database,Patent Search.
Copyright © 2006-2026 Drug Future. All rights reserved.Contact Us