【药物名称】Eptazocine hydrobromide, ST-2121(free base), Sedapain
化学结构式(Chemical Structure):
参考文献No.46722
标题:Preparation of 10-hydroxy-4-benzazonine derivative
作者:Kobayashi, K.; et al. (Nihon Iyakuhin Kogyo Co., Ltd.)
来源:JP 57048968
合成路线图解说明:

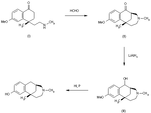
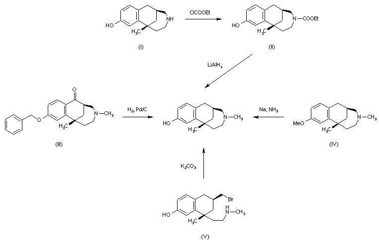
Four procedures for the synthesis of title compound have been described: 1) The acylation of 1-methyl-10-hydroxy-2,3,4,5,6,7-hexahydro-1,6-methano-1H-benzazonine (I) with ethyl chloroformate gives the corresponding N-ethoxyformyl derivative (II), which is then reduced with LiAlH4. 2) By simultaneous reduction and debenzylation of 1,4-dimethyl-7-oxo-10-benzyloxy-1,6-methano-2,3,4,5,6,7-hexahydro-1H-benzazonine (III) with H2 over Pd/C. 3) By demethylation of 1,4-dimethyl-10-methoxy-1,6-methano-2,3,4,5,6,7-hexahydro-1-benzazonine (IV) with Na in liquid NH3. 4) By cyclization of 1-methyl-[1-(2-methylamino)ethyl]-3-bromomethyl-7-hydroxy-1,2,3,4-tetrahydronaphthalene (V) by means of K2CO3 refluxing ethanol.

参考文献No.46726
标题:Preparation of N-methyl-4-benzazonine derivative
作者:Hayashi, I.; et al. (Nihon Iyakuhin Kogyo Co., Ltd.)
来源:JP 57050965
合成路线图解说明:

Four procedures for the synthesis of title compound have been described: 1) The acylation of 1-methyl-10-hydroxy-2,3,4,5,6,7-hexahydro-1,6-methano-1H-benzazonine (I) with ethyl chloroformate gives the corresponding N-ethoxyformyl derivative (II), which is then reduced with LiAlH4. 2) By simultaneous reduction and debenzylation of 1,4-dimethyl-7-oxo-10-benzyloxy-1,6-methano-2,3,4,5,6,7-hexahydro-1H-benzazonine (III) with H2 over Pd/C. 3) By demethylation of 1,4-dimethyl-10-methoxy-1,6-methano-2,3,4,5,6,7-hexahydro-1-benzazonine (IV) with Na in liquid NH3. 4) By cyclization of 1-methyl-[1-(2-methylamino)ethyl]-3-bromomethyl-7-hydroxy-1,2,3,4-tetrahydronaphthalene (V) by means of K2CO3 refluxing ethanol.

参考文献No.46727
标题:Novel method of producing 4-benzazonine derivative
作者:Futsukaichi, O.; et al. (Nihon Iyakuhin Kogyo Co., Ltd.)
来源:JP 57046964
合成路线图解说明:

Four procedures for the synthesis of title compound have been described: 1) The acylation of 1-methyl-10-hydroxy-2,3,4,5,6,7-hexahydro-1,6-methano-1H-benzazonine (I) with ethyl chloroformate gives the corresponding N-ethoxyformyl derivative (II), which is then reduced with LiAlH4. 2) By simultaneous reduction and debenzylation of 1,4-dimethyl-7-oxo-10-benzyloxy-1,6-methano-2,3,4,5,6,7-hexahydro-1H-benzazonine (III) with H2 over Pd/C. 3) By demethylation of 1,4-dimethyl-10-methoxy-1,6-methano-2,3,4,5,6,7-hexahydro-1-benzazonine (IV) with Na in liquid NH3. 4) By cyclization of 1-methyl-[1-(2-methylamino)ethyl]-3-bromomethyl-7-hydroxy-1,2,3,4-tetrahydronaphthalene (V) by means of K2CO3 refluxing ethanol.

参考文献No.46728
标题:Preparation of 10-hydroxy-4-benzazonine derivative
作者:Hayashi, I.; et al. (Nihon Iyakuhin Kogyo Co., Ltd.)
来源:JP 57050964
合成路线图解说明:

Four procedures for the synthesis of title compound have been described: 1) The acylation of 1-methyl-10-hydroxy-2,3,4,5,6,7-hexahydro-1,6-methano-1H-benzazonine (I) with ethyl chloroformate gives the corresponding N-ethoxyformyl derivative (II), which is then reduced with LiAlH4. 2) By simultaneous reduction and debenzylation of 1,4-dimethyl-7-oxo-10-benzyloxy-1,6-methano-2,3,4,5,6,7-hexahydro-1H-benzazonine (III) with H2 over Pd/C. 3) By demethylation of 1,4-dimethyl-10-methoxy-1,6-methano-2,3,4,5,6,7-hexahydro-1-benzazonine (IV) with Na in liquid NH3. 4) By cyclization of 1-methyl-[1-(2-methylamino)ethyl]-3-bromomethyl-7-hydroxy-1,2,3,4-tetrahydronaphthalene (V) by means of K2CO3 refluxing ethanol.

参考文献No.46983
标题:4-Benzazonine derivatives and process for preparation thereof
作者:Ikeda, M.; et al. (Nihon Iyakuhin Kogyo Co., Ltd.)
来源:DE 2422309; FR 2228492; GB 1443311; JP 50106985; US 4008219
合成路线图解说明:

The cyclization of 4-methyl-4-(N-methylaminoethyl)-6-methoxy-3,4-dihydronaphthalene-1(2H)-one (I) with formaldehyde in hot methanol gives 1,4-dimethyl-10-methoxy-2,3,4,5,6,7-hexahydro-1,6-methano-1H-4-benzazonine-7(6H)-one (II), which is reduced with LiAlH4 in refluxing methanol yielding 1,4-dimethyl-10-methoxy-2,3,4,5,6,7-hexahydro-1,6-methano-1H-4-benzazonine-7-ol (III). Finally, this compound is reduced further with HI and P in refluxing acetic acid - water.

参考文献No.49355
标题:Certain substd. caprolactams, pharmaceutical compsns. containing them and a process for their preparation
作者:Bair, K.W.; Wattanasin, S.; Versace, R.W.; Kinder, F.R. Jr.; Jagoe, C.T. (Novartis AG)
来源:US 6239127
合成路线图解说明:

The cyclization of 4-methyl-4-(N-methylaminoethyl)-6-methoxy-3,4-dihydronaphthalene-1(2H)-one (I) with formaldehyde in hot methanol gives 1,4-dimethyl-10-methoxy-2,3,4,5,6,7-hexahydro-1,6-methano-1H-4-benzazonine-7(6H)-one (II), which is reduced with LiAlH4 in refluxing methanol yielding 1,4-dimethyl-10-methoxy-2,3,4,5,6,7-hexahydro-1,6-methano-1H-4-benzazonine-7-ol (III). Finally, this compound is reduced further with HI and P in refluxing acetic acid - water.

合成路线图解说明:

alpha-D-Glucoheptonic acid gamma-lactone (I) was protected as the bis(acetonide) (II) upon treatment with a catalytic amount of I2 in acetone. The free hydroxyl group of (II) was then alkylated with iodomethane in the presence of silver oxide, yielding the methyl ether (III). Selective hydrolysis of the 1,2-acetonide of (III) was accomplished by treatment of the bis(acetonide) (III) with aqueous acetic acid. Oxidative cleavage of the resultant vicinal diol (IV) using NaIO4 gave aldehyde (V). Then, olefination of aldehyde (V) with the low-valent organochromium species generated in situ from 1,1-diiodoneopentane (VI) and CrCl2 produced the target E-olefin (VII) as the major isomer.

合成路线图解说明:

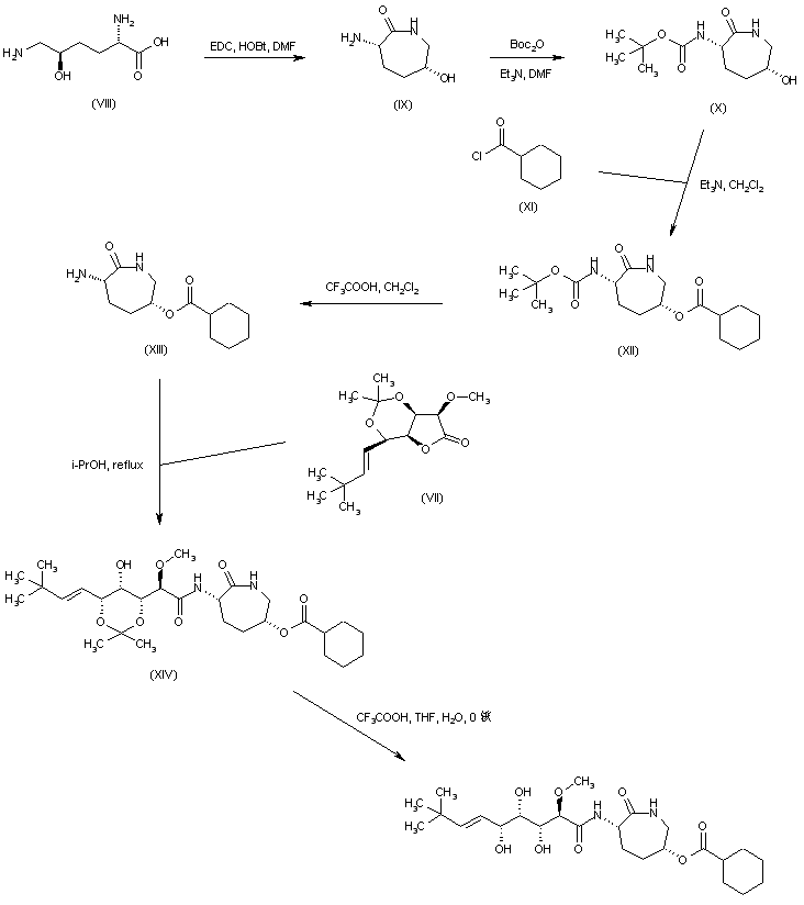
Cyclization of (5R)-5-hydroxy-L-lysine (VIII) by means of EDC and HOBt afforded the caprolactam (IX). The amino group of (IX) was then protected as the N-Boc derivative (X) by treatment with Boc2O. Hydroxyl group acylation in (X) with cyclohexanecarbonyl chloride (XI) produced ester (XII). The Boc protecting group of (XII) was then removed by treatment with trifluoroacetic acid, yielding the aminocaprolactam (XIII). Coupling of amine (XIII) with lactone (VII) in refluxing isopropanol produced amide (XIV). The title compound was then obtained by acidic hydrolysis of the remaining acetonide function of (XIV).

Drug Information Express,Drug R&D,Chemical Database,Patent Search.
Copyright © 2006-2026 Drug Future. All rights reserved.Contact Us