【药物名称】Cirazoline, LD-3098
化学结构式(Chemical Structure):
参考文献No.47585
标题:2-(2'-Cyclopropylphenoxymethyl)-2-imidazoline and pharmaceutically acceptable salts thereof
作者:Najer, H.; Giudidelli, J.F. (Sanofi-Synth閘abo)
来源:DE 2234714; ES 404927; FR 2145423; GB 1386355; US 3803130
合成路线图解说明:

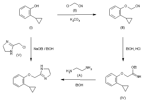
The reaction of o-cyclopropylphenol (I) with chloroacetonitrile (II) by means of K2CO3 in methyl ethyl ketone gives 2-(o-cyclopropylphenoxy)acetonitrile (III), which by partial hydrolysis with ethanol and dry HCl in CHCl3 is converted into the ethyl iminoether of 2-(o-cyclopropylphenoxy)acetic acid (IV). Finally, this compound is cyclized with ethylenediamine (A) in refluxing ethanol. It can also be prepared by reaction of 2-cyclopropylphenol (I) with 2-chloromethylimidazoline (V) by means of sodium ethoxide in refluxing ethanol.

参考文献No.65764
标题:Cirazoline
作者:Hillier, K.; Casta馿r, J.
来源:Drugs Fut 1978,3(5),359
合成路线图解说明:

The reaction of o-cyclopropylphenol (I) with chloroacetonitrile (II) by means of K2CO3 in methyl ethyl ketone gives 2-(o-cyclopropylphenoxy)acetonitrile (III), which by partial hydrolysis with ethanol and dry HCl in CHCl3 is converted into the ethyl iminoether of 2-(o-cyclopropylphenoxy)acetic acid (IV). Finally, this compound is cyclized with ethylenediamine (A) in refluxing ethanol. It can also be prepared by reaction of 2-cyclopropylphenol (I) with 2-chloromethylimidazoline (V) by means of sodium ethoxide in refluxing ethanol.

Drug Information Express,Drug R&D,Chemical Database,Patent Search.
Copyright © 2006-2026 Drug Future. All rights reserved.Contact Us