【药物名称】Hexaprazol, Esaprazole hydrochloride, CO/1063, Praxol
化学结构式(Chemical Structure):
参考文献No.40770
标题:N-Cyclohexyl-piperazino acetamides and propionamides
作者:Corvi-Mora, C. (Camillo Corvi SpA)
来源:US 4123530; US 4278796
合成路线图解说明:

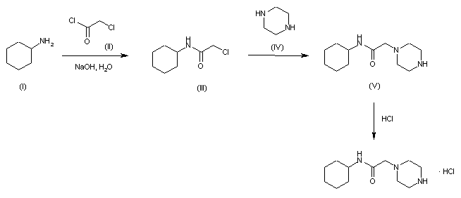
The reaction of cyclohexylamine (I) with chloroacetyl chloride (II) in water in the presence of sodium hydroxide gives N-cyclohexyl-2-chloro-acetamide (III), which by reaction with piperazine (IV) in water is converted to N-[(N-cyclohexylcarbamoyl)methyl]piperazine (V). This compound is then treated with one equivalent of HCl.

参考文献No.64815
标题:Esaprazole hydrochloride
作者:de Angelis, L.
来源:Drugs Fut 1986,11(4),263
合成路线图解说明:

The reaction of cyclohexylamine (I) with chloroacetyl chloride (II) in water in the presence of sodium hydroxide gives N-cyclohexyl-2-chloro-acetamide (III), which by reaction with piperazine (IV) in water is converted to N-[(N-cyclohexylcarbamoyl)methyl]piperazine (V). This compound is then treated with one equivalent of HCl.

Drug Information Express,Drug R&D,Chemical Database,Patent Search.
Copyright © 2006-2026 Drug Future. All rights reserved.Contact Us