【药物名称】Clodoxopone, LR-19731
化学结构式(Chemical Structure):
参考文献No.41901
标题:4-aryl-5-aminoalchil-1,3-dissol-2-oni, loro derivati, processi per la loro preparazione, e composizioni farmaceutche che li contengono
作者:Manghisi, E.; Porta, R.; Cascio, G.; Fregnan, G. (Lusofarmaco)
来源:BE 0874561
合成路线图解说明:

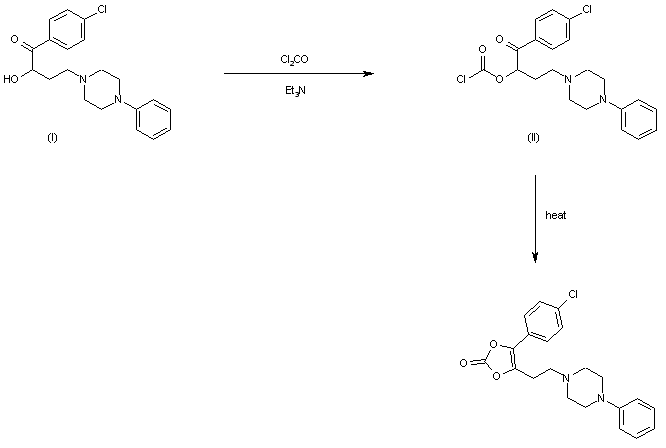
3) By direct cyclization of (I) with phosgene in refluxing CHCl3.

参考文献No.64775
标题:Process for the preparation of biologically active cpds. as well as novel cpds.
作者:Shaw, G.; Baildon, S.; Lees, P. Sr.
来源:DE 1814082
合成路线图解说明:

1) The esterification of 1-(4-chlorobenzoyl)-3-(4-phenyl-1-piperazinyl)propanol (I) with phosgene by means of triethylamine in CHCl3 gives the corresponding chloroformate ester (II), which is then cyclized by heating.

合成路线图解说明:

2) By direct cyclization of (I) with N,N'- carbonyldiimidazole (III) in refluxing benzene.

合成路线图解说明:

3) By direct cyclization of (I) with phosgene in refluxing CHCl3.

合成路线图解说明:

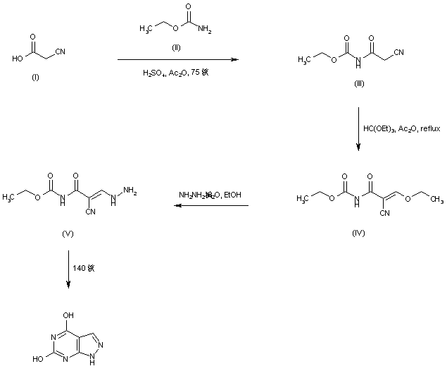
Cyanoacetic acid (I) is condensed with urethane (II) in hot Ac2O to afford N ethoxycarbonyl-cyanoacetamide (III). Subsequent reaction of (III) with triethyl orthoformate yields alpha-cyano-beta-ethoxy-N-ethoxycarbonyl-acrylamide (IV). The ethoxy group of (IV) is then displaced with hydrazine hydrate in EtOH to produce the hydrazino acrylamide (V). Finally, thermal cyclization of (V) gives rise to the title pyrazolopyrimidine (1, 2).

参考文献No.555598
标题:N-phenylpiperazine derivatives with hypocholesterolemic activity
作者:Gascio, G.; Manghisi, E.; Porta, R.; Fregnan, G.
来源:J Med Chem 1985,28(6),815
合成路线图解说明:

1) The esterification of 1-(4-chlorobenzoyl)-3-(4-phenyl-1-piperazinyl)propanol (I) with phosgene by means of triethylamine in CHCl3 gives the corresponding chloroformate ester (II), which is then cyclized by heating.

合成路线图解说明:

2) By direct cyclization of (I) with N,N'- carbonyldiimidazole (III) in refluxing benzene.

Drug Information Express,Drug R&D,Chemical Database,Patent Search.
Copyright © 2006-2026 Drug Future. All rights reserved.Contact Us