【药物名称】Imazodan hydrochloride, CI-914
化学结构式(Chemical Structure):
参考文献No.64809
标题:CI-914
作者:Serradell, M.N.; Casta馿r, J.
来源:Drugs Fut 1984,9(4),256
合成路线图解说明:

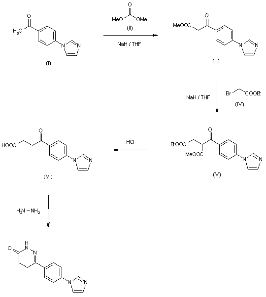
The reaction of 4-(1H-imidazol-1-yl)acetophenone (I) with dimethyl carbonate (III) by means of NaH in THF gives methyl 4-(1H-imidazol-1-yl)-beta-oxobenzenepropanoate (III), which by condensation with ethyl bromoacetate (IV) by means of NaH in THF is converted into ethyl 4-(1H-imidazol-1-yl-beta-(methoxycarbonyl)-gamma-oxobenzenebutanoate (V). Hydrolytic decarboxylation of (VI) in refluxing 6N HCl yields 4-(1H-imidazol-1-yl)-gamma-oxobenzenebutanoic acid (VI), which is finally cyclized with hydrazine in refluxing ethanol.

参考文献No.701156
标题:Substituted 4,5-dihydro-6-(substituted)-phenyl-3(2H)-pyridazinones and 6-(substituted)phenyl-3(2H)-pyridazinones
作者:Sircar, I.; Bristol, J.A.
来源:CA 1190548; DD 208615; EP 0075436
合成路线图解说明:

The reaction of 4-(1H-imidazol-1-yl)acetophenone (I) with dimethyl carbonate (III) by means of NaH in THF gives methyl 4-(1H-imidazol-1-yl)-beta-oxobenzenepropanoate (III), which by condensation with ethyl bromoacetate (IV) by means of NaH in THF is converted into ethyl 4-(1H-imidazol-1-yl-beta-(methoxycarbonyl)-gamma-oxobenzenebutanoate (V). Hydrolytic decarboxylation of (VI) in refluxing 6N HCl yields 4-(1H-imidazol-1-yl)-gamma-oxobenzenebutanoic acid (VI), which is finally cyclized with hydrazine in refluxing ethanol.

Drug Information Express,Drug R&D,Chemical Database,Patent Search.
Copyright © 2006-2026 Drug Future. All rights reserved.Contact Us