【药物名称】Nevadensin
化学结构式(Chemical Structure):
参考文献No.65196
标题:Nevadensin
作者:Ru-yun, J.
来源:Drugs Fut 1984,9(4),271
合成路线图解说明:

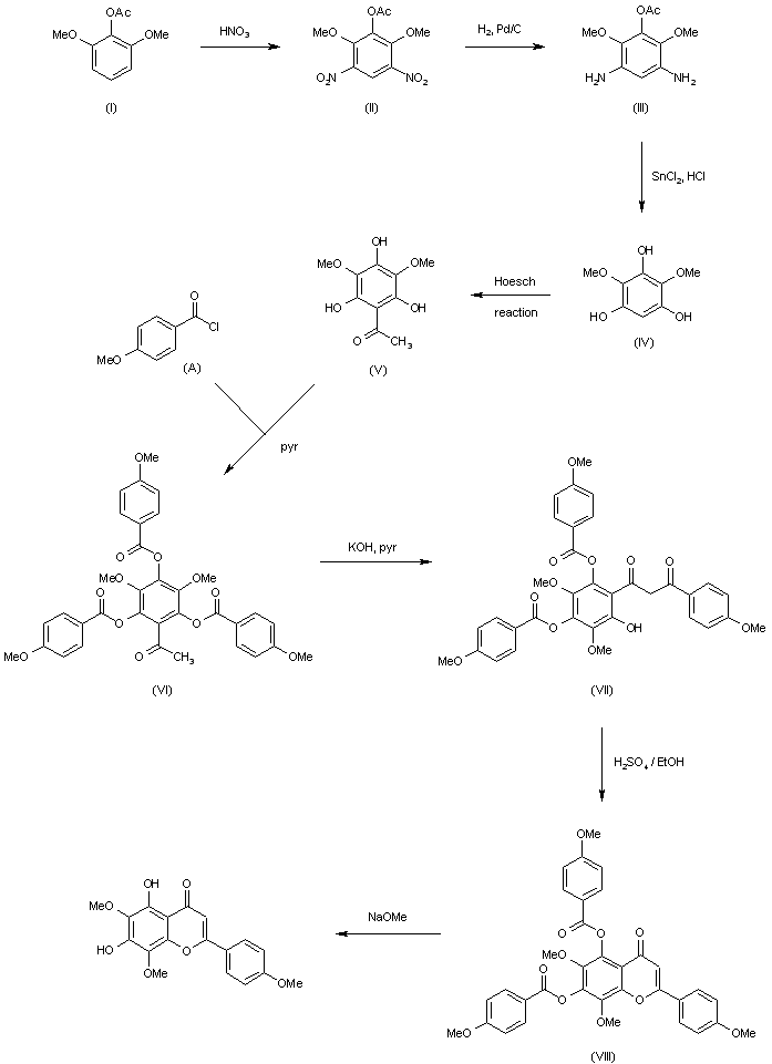
Nevadensin can be synthesized starting from methyl 2,6-dimethoxyphenyl acetate (I). This compound is nitrated and then hydrogenated, giving methyl 3,5-diamino-2,6-dimethoxyphenyl acetate (III). Treatment of the latter compound with stannous chloride-hydrochloric acid gives dimethoxyphloroglucinol (IV). Introduction of an acetyl group followed by interaction with p-methoxybenzoyl chloride (A) gives 4-acetyl-2,6-dimethoxyphloroglucinyl tri(p-methoxy) benzoate (VI). The latter compound, after being rearranged, is cyclized into 5,7-di(p-methoxy)benzoylnevadensin (VIII). Nevadensin can readily be obtained by the hydrolysis of the compound (VIII).

参考文献No.800295
标题:Studies on the antituberculosis principles from Lysionotus pauciflora Maxim. I. Isolation and identification of nevadensin
作者:Feng, S.; Xu, Y.; Fan, G.
来源:Acta Pharm Sin 1979,14(7),447-448
合成路线图解说明:

Nevadensin can be synthesized starting from methyl 2,6-dimethoxyphenyl acetate (I). This compound is nitrated and then hydrogenated, giving methyl 3,5-diamino-2,6-dimethoxyphenyl acetate (III). Treatment of the latter compound with stannous chloride-hydrochloric acid gives dimethoxyphloroglucinol (IV). Introduction of an acetyl group followed by interaction with p-methoxybenzoyl chloride (A) gives 4-acetyl-2,6-dimethoxyphloroglucinyl tri(p-methoxy) benzoate (VI). The latter compound, after being rearranged, is cyclized into 5,7-di(p-methoxy)benzoylnevadensin (VIII). Nevadensin can readily be obtained by the hydrolysis of the compound (VIII).

参考文献No.800296
标题:Determination of nevadensin in biological specimens and its pharmacokinetic study
作者:Su, C.; Han, G.; Zhang, Y.
来源:Chin Pharm Bull 1981,2(3),182-185
合成路线图解说明:

Nevadensin can be synthesized starting from methyl 2,6-dimethoxyphenyl acetate (I). This compound is nitrated and then hydrogenated, giving methyl 3,5-diamino-2,6-dimethoxyphenyl acetate (III). Treatment of the latter compound with stannous chloride-hydrochloric acid gives dimethoxyphloroglucinol (IV). Introduction of an acetyl group followed by interaction with p-methoxybenzoyl chloride (A) gives 4-acetyl-2,6-dimethoxyphloroglucinyl tri(p-methoxy) benzoate (VI). The latter compound, after being rearranged, is cyclized into 5,7-di(p-methoxy)benzoylnevadensin (VIII). Nevadensin can readily be obtained by the hydrolysis of the compound (VIII).

Drug Information Express,Drug R&D,Chemical Database,Patent Search.
Copyright © 2006-2026 Drug Future. All rights reserved.Contact Us