【药物名称】Secnidazole, RP-14539, PM-185184, Flagentyl
化学结构式(Chemical Structure):
参考文献No.47008
标题:New process for the preparation of 5-nitroimidazole derivatives
作者:Jeanmart, C.; Messer, M. (Aventis Pharma SA)
来源:DE 2107405; FR 2079880; GB 1278757; JP 49080066
合成路线图解说明:

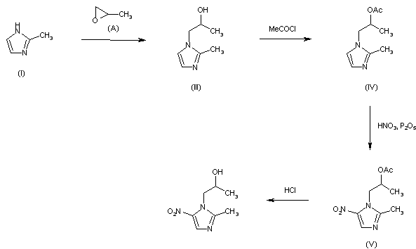
The condensation of (I) with propylene oxide (A) in ethanol at 20 C gives 1-(2-hydroxypropyl)-2-methylimidazole (III), which is acetylated with acetyl chloride in refluxing acetonitrile yielding the corresponding acetate (IV). The nitration of (IV) by means of HNO3 and P2O5 affords 1-(2-acetoxypropyl)-2-methyl-4-nitroimidazole (V), which is finally hydrolyzed with 4N HCl at 90 C.

参考文献No.47009
标题:Process for the preparation of 5-nitroimidazole derivatives
作者:Jeanmart, C.; Messer, M. (Aventis Pharma SA)
来源:CH 513177; DE 2107423; FR 2079879; GB 1278758; NL 7101641
合成路线图解说明:

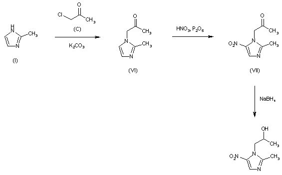
The reaction of (I) with chloroacetone (C) by means of K2CO3 in refluxing acetone gives (2-methylimidazol-1-yl)acetone (VI), which is nitrated with HNO3 and P2O5 affording the corresponding nitro compound (VII). Finally, this product is reduced with NaBH4 in methanol at room temperature.

参考文献No.64757
标题:Secnidazole
作者:Hillier, K.
来源:Drugs Fut 1979,4(4),280
合成路线图解说明:

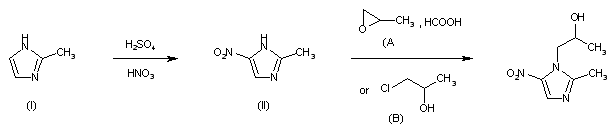
The nitration of (I) with HNO3 and H2SO4 gives 2-methyl-4(5)-nitroimidazole (II), which is then condensed with refluxing 1-chloroisopropanol (B) or with propylene oxide in 85% formic acid (A).

合成路线图解说明:

The condensation of (I) with propylene oxide (A) in ethanol at 20 C gives 1-(2-hydroxypropyl)-2-methylimidazole (III), which is acetylated with acetyl chloride in refluxing acetonitrile yielding the corresponding acetate (IV). The nitration of (IV) by means of HNO3 and P2O5 affords 1-(2-acetoxypropyl)-2-methyl-4-nitroimidazole (V), which is finally hydrolyzed with 4N HCl at 90 C.

合成路线图解说明:

The reaction of (I) with chloroacetone (C) by means of K2CO3 in refluxing acetone gives (2-methylimidazol-1-yl)acetone (VI), which is nitrated with HNO3 and P2O5 affording the corresponding nitro compound (VII). Finally, this product is reduced with NaBH4 in methanol at room temperature.

参考文献No.604470
标题:Nitroimidazoles
作者:Cosar, C.; Crisan, C.; Horclois, R.; Jacob, R.M.; Robert, J.; Tchelitcheff, S.; Vaupr? R.
来源:Arzneim-Forsch Drug Res 1966,16(1),23-29
合成路线图解说明:

The nitration of (I) with HNO3 and H2SO4 gives 2-methyl-4(5)-nitroimidazole (II), which is then condensed with refluxing 1-chloroisopropanol (B) or with propylene oxide in 85% formic acid (A).

合成路线图解说明:

The condensation of (I) with propylene oxide (A) in ethanol at 20 C gives 1-(2-hydroxypropyl)-2-methylimidazole (III), which is acetylated with acetyl chloride in refluxing acetonitrile yielding the corresponding acetate (IV). The nitration of (IV) by means of HNO3 and P2O5 affords 1-(2-acetoxypropyl)-2-methyl-4-nitroimidazole (V), which is finally hydrolyzed with 4N HCl at 90 C.

合成路线图解说明:

The reaction of (I) with chloroacetone (C) by means of K2CO3 in refluxing acetone gives (2-methylimidazol-1-yl)acetone (VI), which is nitrated with HNO3 and P2O5 affording the corresponding nitro compound (VII). Finally, this product is reduced with NaBH4 in methanol at room temperature.

参考文献No.700947
标题:Nouveaux d閞iv閟 de l'imidazole et compositions les contenant
作者:
来源:FR 3270M
合成路线图解说明:

The nitration of (I) with HNO3 and H2SO4 gives 2-methyl-4(5)-nitroimidazole (II), which is then condensed with refluxing 1-chloroisopropanol (B) or with propylene oxide in 85% formic acid (A).

Drug Information Express,Drug R&D,Chemical Database,Patent Search.
Copyright © 2006-2026 Drug Future. All rights reserved.Contact Us