【药物名称】Butylidenephthalide
化学结构式(Chemical Structure):
参考文献No.65183
标题:Butylidenephthalide
作者:Casta馿r, J.; Blancafort, P.; Hillier, K.; Serradell, M.N.
来源:Drugs Fut 1981,6(4),216
合成路线图解说明:

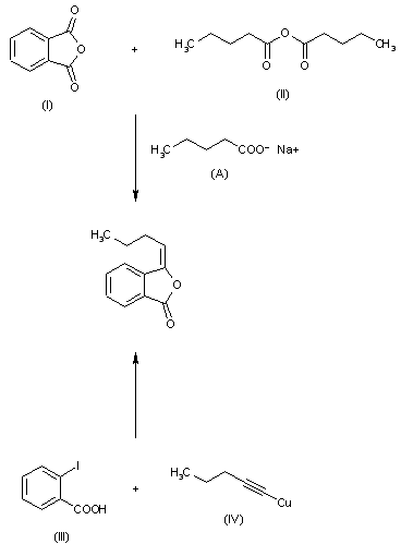
This compound can be obtained in two different ways: 1) By reaction of phthalic anhydride (I) with valeric anhydride (II) in the presence of sodium valerate (A). 2) By reaction of 2-iodobenzoic acid (III) with copper propylacetylide (IV).

参考文献No.800430
标题:A new gamma-lactone found in butter
作者:Lardelli, G.; et al.
来源:Recl Trav Chim Pays-Bas 1966,8543-55
合成路线图解说明:

This compound can be obtained in two different ways: 1) By reaction of phthalic anhydride (I) with valeric anhydride (II) in the presence of sodium valerate (A). 2) By reaction of 2-iodobenzoic acid (III) with copper propylacetylide (IV).

参考文献No.800431
标题:Indoles, benzofurans, phthalides and tolanes via copper (I) acetylides
作者:Castro, C.E.; et al.
来源:J Org Chem 1966,31(12),4071-78
合成路线图解说明:

This compound can be obtained in two different ways: 1) By reaction of phthalic anhydride (I) with valeric anhydride (II) in the presence of sodium valerate (A). 2) By reaction of 2-iodobenzoic acid (III) with copper propylacetylide (IV).

Drug Information Express,Drug R&D,Chemical Database,Patent Search.
Copyright © 2006-2026 Drug Future. All rights reserved.Contact Us