【药物名称】C-751
化学结构式(Chemical Structure):
参考文献No.65185
标题:C-751
作者:Serradell, M.N.; Blancafort, P.; Hillier, K.; Casta馿r, J.
来源:Drugs Fut 1981,6(4),218
合成路线图解说明:

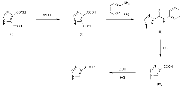
The hydrolysis of diethyl imidazole-4,5-dicarboxylate (I) with aqueous NaOH gives imidazole-4,5-dicarboxylic acid (II), which is partially decarboxylated by treatment with refluxing aniline yielding 4-anilinocarbonylimidazole (III). The hydrolysis of (III) with refluxing aqueous HCl affords imidazole-4-carboxylic acid (IV), which is finally esterified with ethanol and dry HCl at reflux temperature.

参考文献No.701356
标题:
作者:Schen, T.-T.; et al.
来源:US 3438992
合成路线图解说明:

The hydrolysis of diethyl imidazole-4,5-dicarboxylate (I) with aqueous NaOH gives imidazole-4,5-dicarboxylic acid (II), which is partially decarboxylated by treatment with refluxing aniline yielding 4-anilinocarbonylimidazole (III). The hydrolysis of (III) with refluxing aqueous HCl affords imidazole-4-carboxylic acid (IV), which is finally esterified with ethanol and dry HCl at reflux temperature.

Drug Information Express,Drug R&D,Chemical Database,Patent Search.
Copyright © 2006-2026 Drug Future. All rights reserved.Contact Us