【药物名称】Metitepine, Methiothepin, Ro-8-6837(maleate), VUFB-6276(mesylate)
化学结构式(Chemical Structure):
参考文献No.65194
标题:Metitepine
作者:Protiva, M.
来源:Drugs Fut 1977,2(4),250
合成路线图解说明:

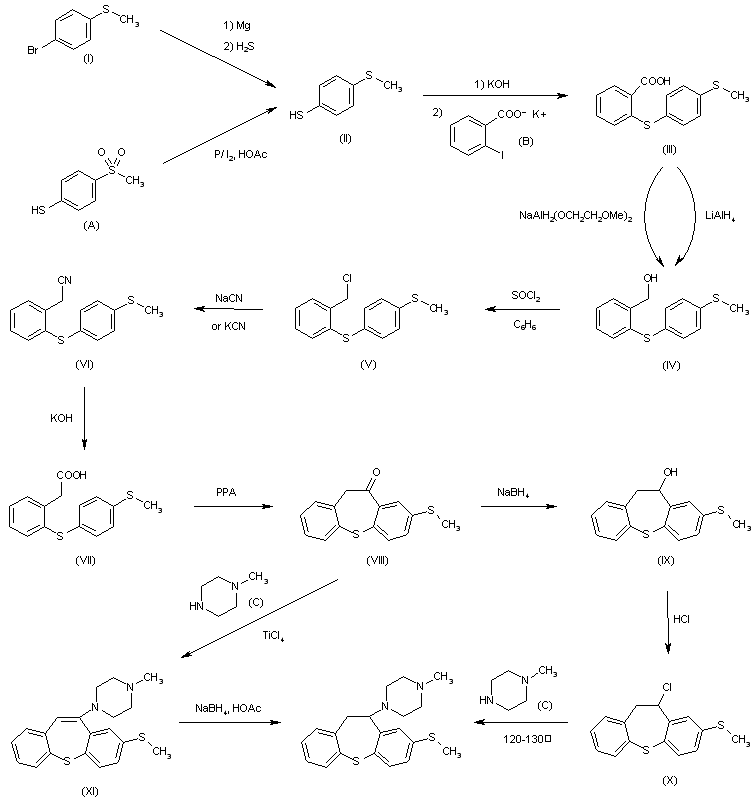
Methiothepin can be prepared in several ways, two of which have been described with experimental details. The common intermediate of both is the ketone (VIII). 4-Bromothioanisol (I) is converted to the Grignard reagent, which is treated with sulfur yielding 4-(methylthio)thiophenol (II). The same compound is accessible by reduction of 4-(methylthio)benzenesulfonyl chloride (A), done best with phosphorus and iodine in acetic acid. The potassium salt of (II) is treated with a boiling solution of potassium 2-iodobenzoate (B) in the presence of copper giving 2-(4-methylthiophenylthio)benzoic acid (III). Further reduction with LiAlH4 results in 2-(4-methylthiophenylthio)benzyl alcohol (IV). This reduction proceeds very well with NaAlH2(OCH2CH2OCH3)2 in benzene. (IV) is then converted with SOCl2 in benzene to the chloride (V), which is treated with NaCN or KCN in boiling aqueous ethanol to give the nitrile (VI). Hydroysis with KOH in aqueous ethanol yields 2-(4-methylthiophenylthio)phenylacetic acid (VII), which is cyclized with polyphosphoric acid to 8-(methylthio)dibenzo[b,f]thiepin-10(11H)-one (VIII). The ketone (VIII) may be reduced with NaBH4 to the alcohol (IX), which is transformed by treatment with anhydrous HCl in benzene to the chloride (X). Substitution reaction with 1-methylpiperazine (C) at 120-130 C or more in boiling chloroform gives 80% crude metitepine base, which is transformed to the maleate. The other method consists first in transforming the ketone (VIII) into the methylpiperazine enamine (XI) by treatment with 1-methylpiperazine (C) and TiCl4 in boiling benzene. The enamine (XI) is then reduced to metitepine; the best method of reduction for this particular case seems to be the treatment with diborane generated by interaction of NaBH4 with acetic acid in tetrahydrofuran. An additional three methods of metitepine synthesis are covered by patents; howewer, they do not describe experimental details for the particular case of metitepine.

参考文献No.701510
标题:Methiothepin, octoclothepin and related neuroleptic agents
作者:Kyburz, E.
来源:Commun at the Rest Inst Pharm Biochem in Prague, June 5, 1974 1974,25(1),20
合成路线图解说明:

Methiothepin can be prepared in several ways, two of which have been described with experimental details. The common intermediate of both is the ketone (VIII). 4-Bromothioanisol (I) is converted to the Grignard reagent, which is treated with sulfur yielding 4-(methylthio)thiophenol (II). The same compound is accessible by reduction of 4-(methylthio)benzenesulfonyl chloride (A), done best with phosphorus and iodine in acetic acid. The potassium salt of (II) is treated with a boiling solution of potassium 2-iodobenzoate (B) in the presence of copper giving 2-(4-methylthiophenylthio)benzoic acid (III). Further reduction with LiAlH4 results in 2-(4-methylthiophenylthio)benzyl alcohol (IV). This reduction proceeds very well with NaAlH2(OCH2CH2OCH3)2 in benzene. (IV) is then converted with SOCl2 in benzene to the chloride (V), which is treated with NaCN or KCN in boiling aqueous ethanol to give the nitrile (VI). Hydroysis with KOH in aqueous ethanol yields 2-(4-methylthiophenylthio)phenylacetic acid (VII), which is cyclized with polyphosphoric acid to 8-(methylthio)dibenzo[b,f]thiepin-10(11H)-one (VIII). The ketone (VIII) may be reduced with NaBH4 to the alcohol (IX), which is transformed by treatment with anhydrous HCl in benzene to the chloride (X). Substitution reaction with 1-methylpiperazine (C) at 120-130 C or more in boiling chloroform gives 80% crude metitepine base, which is transformed to the maleate. The other method consists first in transforming the ketone (VIII) into the methylpiperazine enamine (XI) by treatment with 1-methylpiperazine (C) and TiCl4 in boiling benzene. The enamine (XI) is then reduced to metitepine; the best method of reduction for this particular case seems to be the treatment with diborane generated by interaction of NaBH4 with acetic acid in tetrahydrofuran. An additional three methods of metitepine synthesis are covered by patents; howewer, they do not describe experimental details for the particular case of metitepine.

参考文献No.701511
标题:Uber Methiothepin und verwandte Dibenzo[b,f]thiepin und -oxepin-Derivate
作者:Kyburz, E.
来源:Schweiz Chem Ges, Herbstversammlung, Neuchatel, Oct. 12, 1974 1974,106(19, Suppl. 2),
合成路线图解说明:

Methiothepin can be prepared in several ways, two of which have been described with experimental details. The common intermediate of both is the ketone (VIII). 4-Bromothioanisol (I) is converted to the Grignard reagent, which is treated with sulfur yielding 4-(methylthio)thiophenol (II). The same compound is accessible by reduction of 4-(methylthio)benzenesulfonyl chloride (A), done best with phosphorus and iodine in acetic acid. The potassium salt of (II) is treated with a boiling solution of potassium 2-iodobenzoate (B) in the presence of copper giving 2-(4-methylthiophenylthio)benzoic acid (III). Further reduction with LiAlH4 results in 2-(4-methylthiophenylthio)benzyl alcohol (IV). This reduction proceeds very well with NaAlH2(OCH2CH2OCH3)2 in benzene. (IV) is then converted with SOCl2 in benzene to the chloride (V), which is treated with NaCN or KCN in boiling aqueous ethanol to give the nitrile (VI). Hydroysis with KOH in aqueous ethanol yields 2-(4-methylthiophenylthio)phenylacetic acid (VII), which is cyclized with polyphosphoric acid to 8-(methylthio)dibenzo[b,f]thiepin-10(11H)-one (VIII). The ketone (VIII) may be reduced with NaBH4 to the alcohol (IX), which is transformed by treatment with anhydrous HCl in benzene to the chloride (X). Substitution reaction with 1-methylpiperazine (C) at 120-130 C or more in boiling chloroform gives 80% crude metitepine base, which is transformed to the maleate. The other method consists first in transforming the ketone (VIII) into the methylpiperazine enamine (XI) by treatment with 1-methylpiperazine (C) and TiCl4 in boiling benzene. The enamine (XI) is then reduced to metitepine; the best method of reduction for this particular case seems to be the treatment with diborane generated by interaction of NaBH4 with acetic acid in tetrahydrofuran. An additional three methods of metitepine synthesis are covered by patents; howewer, they do not describe experimental details for the particular case of metitepine.

参考文献No.800640
标题:Piperazinyldibenzothiepines
作者:Protiva, M.; et al.
来源:DE 1620382; FR 1484332; GB 1123400; US 3379729
合成路线图解说明:

Methiothepin can be prepared in several ways, two of which have been described with experimental details. The common intermediate of both is the ketone (VIII). 4-Bromothioanisol (I) is converted to the Grignard reagent, which is treated with sulfur yielding 4-(methylthio)thiophenol (II). The same compound is accessible by reduction of 4-(methylthio)benzenesulfonyl chloride (A), done best with phosphorus and iodine in acetic acid. The potassium salt of (II) is treated with a boiling solution of potassium 2-iodobenzoate (B) in the presence of copper giving 2-(4-methylthiophenylthio)benzoic acid (III). Further reduction with LiAlH4 results in 2-(4-methylthiophenylthio)benzyl alcohol (IV). This reduction proceeds very well with NaAlH2(OCH2CH2OCH3)2 in benzene. (IV) is then converted with SOCl2 in benzene to the chloride (V), which is treated with NaCN or KCN in boiling aqueous ethanol to give the nitrile (VI). Hydroysis with KOH in aqueous ethanol yields 2-(4-methylthiophenylthio)phenylacetic acid (VII), which is cyclized with polyphosphoric acid to 8-(methylthio)dibenzo[b,f]thiepin-10(11H)-one (VIII). The ketone (VIII) may be reduced with NaBH4 to the alcohol (IX), which is transformed by treatment with anhydrous HCl in benzene to the chloride (X). Substitution reaction with 1-methylpiperazine (C) at 120-130 C or more in boiling chloroform gives 80% crude metitepine base, which is transformed to the maleate. The other method consists first in transforming the ketone (VIII) into the methylpiperazine enamine (XI) by treatment with 1-methylpiperazine (C) and TiCl4 in boiling benzene. The enamine (XI) is then reduced to metitepine; the best method of reduction for this particular case seems to be the treatment with diborane generated by interaction of NaBH4 with acetic acid in tetrahydrofuran. An additional three methods of metitepine synthesis are covered by patents; howewer, they do not describe experimental details for the particular case of metitepine.

参考文献No.800641
标题:Neurotrope und psychotrope Substanzen. XXV. Uber die in 8.Stellung durch die Methyl-, -tert-Butyl-, Methoxy-, Methylthio- und Methansulfonylgruppe substituierten 10-(4-Methylpiperazino)-10,11-dihydrodibenzo[b,f]thiepin-Derivate
作者:Pelz, K.; et al.
来源:Coll Czech Chem Commun 1968,331895-1910
合成路线图解说明:

Methiothepin can be prepared in several ways, two of which have been described with experimental details. The common intermediate of both is the ketone (VIII). 4-Bromothioanisol (I) is converted to the Grignard reagent, which is treated with sulfur yielding 4-(methylthio)thiophenol (II). The same compound is accessible by reduction of 4-(methylthio)benzenesulfonyl chloride (A), done best with phosphorus and iodine in acetic acid. The potassium salt of (II) is treated with a boiling solution of potassium 2-iodobenzoate (B) in the presence of copper giving 2-(4-methylthiophenylthio)benzoic acid (III). Further reduction with LiAlH4 results in 2-(4-methylthiophenylthio)benzyl alcohol (IV). This reduction proceeds very well with NaAlH2(OCH2CH2OCH3)2 in benzene. (IV) is then converted with SOCl2 in benzene to the chloride (V), which is treated with NaCN or KCN in boiling aqueous ethanol to give the nitrile (VI). Hydroysis with KOH in aqueous ethanol yields 2-(4-methylthiophenylthio)phenylacetic acid (VII), which is cyclized with polyphosphoric acid to 8-(methylthio)dibenzo[b,f]thiepin-10(11H)-one (VIII). The ketone (VIII) may be reduced with NaBH4 to the alcohol (IX), which is transformed by treatment with anhydrous HCl in benzene to the chloride (X). Substitution reaction with 1-methylpiperazine (C) at 120-130 C or more in boiling chloroform gives 80% crude metitepine base, which is transformed to the maleate. The other method consists first in transforming the ketone (VIII) into the methylpiperazine enamine (XI) by treatment with 1-methylpiperazine (C) and TiCl4 in boiling benzene. The enamine (XI) is then reduced to metitepine; the best method of reduction for this particular case seems to be the treatment with diborane generated by interaction of NaBH4 with acetic acid in tetrahydrofuran. An additional three methods of metitepine synthesis are covered by patents; howewer, they do not describe experimental details for the particular case of metitepine.

参考文献No.800642
标题:Process for benzothiepins
作者:Kaplan, J.P.; Kyburz, E.
来源:CH 555856; CH 563389; DE 2216883; FR 2135174; GB 1361717; US 3811026
合成路线图解说明:

Methiothepin can be prepared in several ways, two of which have been described with experimental details. The common intermediate of both is the ketone (VIII). 4-Bromothioanisol (I) is converted to the Grignard reagent, which is treated with sulfur yielding 4-(methylthio)thiophenol (II). The same compound is accessible by reduction of 4-(methylthio)benzenesulfonyl chloride (A), done best with phosphorus and iodine in acetic acid. The potassium salt of (II) is treated with a boiling solution of potassium 2-iodobenzoate (B) in the presence of copper giving 2-(4-methylthiophenylthio)benzoic acid (III). Further reduction with LiAlH4 results in 2-(4-methylthiophenylthio)benzyl alcohol (IV). This reduction proceeds very well with NaAlH2(OCH2CH2OCH3)2 in benzene. (IV) is then converted with SOCl2 in benzene to the chloride (V), which is treated with NaCN or KCN in boiling aqueous ethanol to give the nitrile (VI). Hydroysis with KOH in aqueous ethanol yields 2-(4-methylthiophenylthio)phenylacetic acid (VII), which is cyclized with polyphosphoric acid to 8-(methylthio)dibenzo[b,f]thiepin-10(11H)-one (VIII). The ketone (VIII) may be reduced with NaBH4 to the alcohol (IX), which is transformed by treatment with anhydrous HCl in benzene to the chloride (X). Substitution reaction with 1-methylpiperazine (C) at 120-130 C or more in boiling chloroform gives 80% crude metitepine base, which is transformed to the maleate. The other method consists first in transforming the ketone (VIII) into the methylpiperazine enamine (XI) by treatment with 1-methylpiperazine (C) and TiCl4 in boiling benzene. The enamine (XI) is then reduced to metitepine; the best method of reduction for this particular case seems to be the treatment with diborane generated by interaction of NaBH4 with acetic acid in tetrahydrofuran. An additional three methods of metitepine synthesis are covered by patents; howewer, they do not describe experimental details for the particular case of metitepine.

参考文献No.800643
标题:8-Alkylthio-10-piperazinodibenzo[b,f]thiepins
作者:J韑ek, J.O.; et al.
来源:Coll Czech Chem Commun 1974,393338-51
合成路线图解说明:

Methiothepin can be prepared in several ways, two of which have been described with experimental details. The common intermediate of both is the ketone (VIII). 4-Bromothioanisol (I) is converted to the Grignard reagent, which is treated with sulfur yielding 4-(methylthio)thiophenol (II). The same compound is accessible by reduction of 4-(methylthio)benzenesulfonyl chloride (A), done best with phosphorus and iodine in acetic acid. The potassium salt of (II) is treated with a boiling solution of potassium 2-iodobenzoate (B) in the presence of copper giving 2-(4-methylthiophenylthio)benzoic acid (III). Further reduction with LiAlH4 results in 2-(4-methylthiophenylthio)benzyl alcohol (IV). This reduction proceeds very well with NaAlH2(OCH2CH2OCH3)2 in benzene. (IV) is then converted with SOCl2 in benzene to the chloride (V), which is treated with NaCN or KCN in boiling aqueous ethanol to give the nitrile (VI). Hydroysis with KOH in aqueous ethanol yields 2-(4-methylthiophenylthio)phenylacetic acid (VII), which is cyclized with polyphosphoric acid to 8-(methylthio)dibenzo[b,f]thiepin-10(11H)-one (VIII). The ketone (VIII) may be reduced with NaBH4 to the alcohol (IX), which is transformed by treatment with anhydrous HCl in benzene to the chloride (X). Substitution reaction with 1-methylpiperazine (C) at 120-130 C or more in boiling chloroform gives 80% crude metitepine base, which is transformed to the maleate. The other method consists first in transforming the ketone (VIII) into the methylpiperazine enamine (XI) by treatment with 1-methylpiperazine (C) and TiCl4 in boiling benzene. The enamine (XI) is then reduced to metitepine; the best method of reduction for this particular case seems to be the treatment with diborane generated by interaction of NaBH4 with acetic acid in tetrahydrofuran. An additional three methods of metitepine synthesis are covered by patents; howewer, they do not describe experimental details for the particular case of metitepine.

参考文献No.800644
标题:8-Chlor-10-(4-methylpiperazino)dibenzo[b,f]thiepin und Analoga; neue hoch wirksame Neuroleptica
作者:J韑ek, J.O.; et al.
来源:Naturwissencshaften 1969,56374
合成路线图解说明:

Methiothepin can be prepared in several ways, two of which have been described with experimental details. The common intermediate of both is the ketone (VIII). 4-Bromothioanisol (I) is converted to the Grignard reagent, which is treated with sulfur yielding 4-(methylthio)thiophenol (II). The same compound is accessible by reduction of 4-(methylthio)benzenesulfonyl chloride (A), done best with phosphorus and iodine in acetic acid. The potassium salt of (II) is treated with a boiling solution of potassium 2-iodobenzoate (B) in the presence of copper giving 2-(4-methylthiophenylthio)benzoic acid (III). Further reduction with LiAlH4 results in 2-(4-methylthiophenylthio)benzyl alcohol (IV). This reduction proceeds very well with NaAlH2(OCH2CH2OCH3)2 in benzene. (IV) is then converted with SOCl2 in benzene to the chloride (V), which is treated with NaCN or KCN in boiling aqueous ethanol to give the nitrile (VI). Hydroysis with KOH in aqueous ethanol yields 2-(4-methylthiophenylthio)phenylacetic acid (VII), which is cyclized with polyphosphoric acid to 8-(methylthio)dibenzo[b,f]thiepin-10(11H)-one (VIII). The ketone (VIII) may be reduced with NaBH4 to the alcohol (IX), which is transformed by treatment with anhydrous HCl in benzene to the chloride (X). Substitution reaction with 1-methylpiperazine (C) at 120-130 C or more in boiling chloroform gives 80% crude metitepine base, which is transformed to the maleate. The other method consists first in transforming the ketone (VIII) into the methylpiperazine enamine (XI) by treatment with 1-methylpiperazine (C) and TiCl4 in boiling benzene. The enamine (XI) is then reduced to metitepine; the best method of reduction for this particular case seems to be the treatment with diborane generated by interaction of NaBH4 with acetic acid in tetrahydrofuran. An additional three methods of metitepine synthesis are covered by patents; howewer, they do not describe experimental details for the particular case of metitepine.

参考文献No.800645
标题:Neurotropic and psychotropic substances. XLIV. 10-Aminoalkoxy and 10-piperazino derivatives of dibenzo[b,f]thiepin and related systems
作者:J韑ek, J.O.; et al.
来源:Czech Chem Commun 1970,353721-32
合成路线图解说明:

Methiothepin can be prepared in several ways, two of which have been described with experimental details. The common intermediate of both is the ketone (VIII). 4-Bromothioanisol (I) is converted to the Grignard reagent, which is treated with sulfur yielding 4-(methylthio)thiophenol (II). The same compound is accessible by reduction of 4-(methylthio)benzenesulfonyl chloride (A), done best with phosphorus and iodine in acetic acid. The potassium salt of (II) is treated with a boiling solution of potassium 2-iodobenzoate (B) in the presence of copper giving 2-(4-methylthiophenylthio)benzoic acid (III). Further reduction with LiAlH4 results in 2-(4-methylthiophenylthio)benzyl alcohol (IV). This reduction proceeds very well with NaAlH2(OCH2CH2OCH3)2 in benzene. (IV) is then converted with SOCl2 in benzene to the chloride (V), which is treated with NaCN or KCN in boiling aqueous ethanol to give the nitrile (VI). Hydroysis with KOH in aqueous ethanol yields 2-(4-methylthiophenylthio)phenylacetic acid (VII), which is cyclized with polyphosphoric acid to 8-(methylthio)dibenzo[b,f]thiepin-10(11H)-one (VIII). The ketone (VIII) may be reduced with NaBH4 to the alcohol (IX), which is transformed by treatment with anhydrous HCl in benzene to the chloride (X). Substitution reaction with 1-methylpiperazine (C) at 120-130 C or more in boiling chloroform gives 80% crude metitepine base, which is transformed to the maleate. The other method consists first in transforming the ketone (VIII) into the methylpiperazine enamine (XI) by treatment with 1-methylpiperazine (C) and TiCl4 in boiling benzene. The enamine (XI) is then reduced to metitepine; the best method of reduction for this particular case seems to be the treatment with diborane generated by interaction of NaBH4 with acetic acid in tetrahydrofuran. An additional three methods of metitepine synthesis are covered by patents; howewer, they do not describe experimental details for the particular case of metitepine.

参考文献No.800646
标题:Proc閐?de pr閜aration d'amines h閠閞ocycliques et de leurs sels et produits obtenus par ce proc閐?
作者:Protiva, M.; et al.
来源:ES 394172; FR 2099683
合成路线图解说明:

Methiothepin can be prepared in several ways, two of which have been described with experimental details. The common intermediate of both is the ketone (VIII). 4-Bromothioanisol (I) is converted to the Grignard reagent, which is treated with sulfur yielding 4-(methylthio)thiophenol (II). The same compound is accessible by reduction of 4-(methylthio)benzenesulfonyl chloride (A), done best with phosphorus and iodine in acetic acid. The potassium salt of (II) is treated with a boiling solution of potassium 2-iodobenzoate (B) in the presence of copper giving 2-(4-methylthiophenylthio)benzoic acid (III). Further reduction with LiAlH4 results in 2-(4-methylthiophenylthio)benzyl alcohol (IV). This reduction proceeds very well with NaAlH2(OCH2CH2OCH3)2 in benzene. (IV) is then converted with SOCl2 in benzene to the chloride (V), which is treated with NaCN or KCN in boiling aqueous ethanol to give the nitrile (VI). Hydroysis with KOH in aqueous ethanol yields 2-(4-methylthiophenylthio)phenylacetic acid (VII), which is cyclized with polyphosphoric acid to 8-(methylthio)dibenzo[b,f]thiepin-10(11H)-one (VIII). The ketone (VIII) may be reduced with NaBH4 to the alcohol (IX), which is transformed by treatment with anhydrous HCl in benzene to the chloride (X). Substitution reaction with 1-methylpiperazine (C) at 120-130 C or more in boiling chloroform gives 80% crude metitepine base, which is transformed to the maleate. The other method consists first in transforming the ketone (VIII) into the methylpiperazine enamine (XI) by treatment with 1-methylpiperazine (C) and TiCl4 in boiling benzene. The enamine (XI) is then reduced to metitepine; the best method of reduction for this particular case seems to be the treatment with diborane generated by interaction of NaBH4 with acetic acid in tetrahydrofuran. An additional three methods of metitepine synthesis are covered by patents; howewer, they do not describe experimental details for the particular case of metitepine.

参考文献No.800647
标题:Proc閐?de pr閜aration de la m閠hyl-pip閞azine et de leurs sels, ainsi que les produits obtenus
作者:Protiva, M.; et al.
来源:FR 2151568; ZA 7104647
合成路线图解说明:

Methiothepin can be prepared in several ways, two of which have been described with experimental details. The common intermediate of both is the ketone (VIII). 4-Bromothioanisol (I) is converted to the Grignard reagent, which is treated with sulfur yielding 4-(methylthio)thiophenol (II). The same compound is accessible by reduction of 4-(methylthio)benzenesulfonyl chloride (A), done best with phosphorus and iodine in acetic acid. The potassium salt of (II) is treated with a boiling solution of potassium 2-iodobenzoate (B) in the presence of copper giving 2-(4-methylthiophenylthio)benzoic acid (III). Further reduction with LiAlH4 results in 2-(4-methylthiophenylthio)benzyl alcohol (IV). This reduction proceeds very well with NaAlH2(OCH2CH2OCH3)2 in benzene. (IV) is then converted with SOCl2 in benzene to the chloride (V), which is treated with NaCN or KCN in boiling aqueous ethanol to give the nitrile (VI). Hydroysis with KOH in aqueous ethanol yields 2-(4-methylthiophenylthio)phenylacetic acid (VII), which is cyclized with polyphosphoric acid to 8-(methylthio)dibenzo[b,f]thiepin-10(11H)-one (VIII). The ketone (VIII) may be reduced with NaBH4 to the alcohol (IX), which is transformed by treatment with anhydrous HCl in benzene to the chloride (X). Substitution reaction with 1-methylpiperazine (C) at 120-130 C or more in boiling chloroform gives 80% crude metitepine base, which is transformed to the maleate. The other method consists first in transforming the ketone (VIII) into the methylpiperazine enamine (XI) by treatment with 1-methylpiperazine (C) and TiCl4 in boiling benzene. The enamine (XI) is then reduced to metitepine; the best method of reduction for this particular case seems to be the treatment with diborane generated by interaction of NaBH4 with acetic acid in tetrahydrofuran. An additional three methods of metitepine synthesis are covered by patents; howewer, they do not describe experimental details for the particular case of metitepine.

参考文献No.800648
标题:Pharmacodynamically effective 10-4-substituted piperazino-10,11- dihydrodibenzo[b,f]thiepins and a method of preparing same
作者:Protiva, M.; et al.
来源:DE 2026027; ES 380127; FR 2043741; GB 1313428
合成路线图解说明:

Methiothepin can be prepared in several ways, two of which have been described with experimental details. The common intermediate of both is the ketone (VIII). 4-Bromothioanisol (I) is converted to the Grignard reagent, which is treated with sulfur yielding 4-(methylthio)thiophenol (II). The same compound is accessible by reduction of 4-(methylthio)benzenesulfonyl chloride (A), done best with phosphorus and iodine in acetic acid. The potassium salt of (II) is treated with a boiling solution of potassium 2-iodobenzoate (B) in the presence of copper giving 2-(4-methylthiophenylthio)benzoic acid (III). Further reduction with LiAlH4 results in 2-(4-methylthiophenylthio)benzyl alcohol (IV). This reduction proceeds very well with NaAlH2(OCH2CH2OCH3)2 in benzene. (IV) is then converted with SOCl2 in benzene to the chloride (V), which is treated with NaCN or KCN in boiling aqueous ethanol to give the nitrile (VI). Hydroysis with KOH in aqueous ethanol yields 2-(4-methylthiophenylthio)phenylacetic acid (VII), which is cyclized with polyphosphoric acid to 8-(methylthio)dibenzo[b,f]thiepin-10(11H)-one (VIII). The ketone (VIII) may be reduced with NaBH4 to the alcohol (IX), which is transformed by treatment with anhydrous HCl in benzene to the chloride (X). Substitution reaction with 1-methylpiperazine (C) at 120-130 C or more in boiling chloroform gives 80% crude metitepine base, which is transformed to the maleate. The other method consists first in transforming the ketone (VIII) into the methylpiperazine enamine (XI) by treatment with 1-methylpiperazine (C) and TiCl4 in boiling benzene. The enamine (XI) is then reduced to metitepine; the best method of reduction for this particular case seems to be the treatment with diborane generated by interaction of NaBH4 with acetic acid in tetrahydrofuran. An additional three methods of metitepine synthesis are covered by patents; howewer, they do not describe experimental details for the particular case of metitepine.

参考文献No.800649
标题:Verfahren zur Herstellung von neuroleptisch wirksamen 10-Piperazino-10,11-dihydrodibenzo[b,f]thiepinen
作者:Protiva, M.; et al.
来源:AT 310170B; CH 544771; ES 385836; NL 7017200; ZA 7007985
合成路线图解说明:

Methiothepin can be prepared in several ways, two of which have been described with experimental details. The common intermediate of both is the ketone (VIII). 4-Bromothioanisol (I) is converted to the Grignard reagent, which is treated with sulfur yielding 4-(methylthio)thiophenol (II). The same compound is accessible by reduction of 4-(methylthio)benzenesulfonyl chloride (A), done best with phosphorus and iodine in acetic acid. The potassium salt of (II) is treated with a boiling solution of potassium 2-iodobenzoate (B) in the presence of copper giving 2-(4-methylthiophenylthio)benzoic acid (III). Further reduction with LiAlH4 results in 2-(4-methylthiophenylthio)benzyl alcohol (IV). This reduction proceeds very well with NaAlH2(OCH2CH2OCH3)2 in benzene. (IV) is then converted with SOCl2 in benzene to the chloride (V), which is treated with NaCN or KCN in boiling aqueous ethanol to give the nitrile (VI). Hydroysis with KOH in aqueous ethanol yields 2-(4-methylthiophenylthio)phenylacetic acid (VII), which is cyclized with polyphosphoric acid to 8-(methylthio)dibenzo[b,f]thiepin-10(11H)-one (VIII). The ketone (VIII) may be reduced with NaBH4 to the alcohol (IX), which is transformed by treatment with anhydrous HCl in benzene to the chloride (X). Substitution reaction with 1-methylpiperazine (C) at 120-130 C or more in boiling chloroform gives 80% crude metitepine base, which is transformed to the maleate. The other method consists first in transforming the ketone (VIII) into the methylpiperazine enamine (XI) by treatment with 1-methylpiperazine (C) and TiCl4 in boiling benzene. The enamine (XI) is then reduced to metitepine; the best method of reduction for this particular case seems to be the treatment with diborane generated by interaction of NaBH4 with acetic acid in tetrahydrofuran. An additional three methods of metitepine synthesis are covered by patents; howewer, they do not describe experimental details for the particular case of metitepine.

Drug Information Express,Drug R&D,Chemical Database,Patent Search.
Copyright © 2006-2026 Drug Future. All rights reserved.Contact Us