【药物名称】Pelubiprofen, CS-670, RS-2131
化学结构式(Chemical Structure):
参考文献No.46485
标题:Cycloalkylidenemethylphenylacetic acid derivatives and process for the preparation thereof
作者:Terada, A.; Tanaka, S.; Misaka, E. (Sankyo Co., Ltd.)
来源:BE 0869721; DE 2835701; FR 2400500; GB 2002762; JP 7932460; JP 8257019; US 4254274; US 4365076
合成路线图解说明:

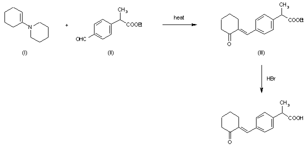
The condensation of pyrrolidinocyclohexene (I) with ethyl 2-(4-formylphenyl)propionate (II) in refluxing benzene gives ethyl 2-[4-(2-oxocyclohexylidenemethyl)phenyl)propionate (III), which is hydrolyzed with HBr in refluxing dioxane water.

参考文献No.65161
标题:RS-2131
作者:Serradell, M.N.; Casta馿r, J.
来源:Drugs Fut 1984,9(4),275
合成路线图解说明:

The condensation of pyrrolidinocyclohexene (I) with ethyl 2-(4-formylphenyl)propionate (II) in refluxing benzene gives ethyl 2-[4-(2-oxocyclohexylidenemethyl)phenyl)propionate (III), which is hydrolyzed with HBr in refluxing dioxane water.

Drug Information Express,Drug R&D,Chemical Database,Patent Search.
Copyright © 2006-2026 Drug Future. All rights reserved.Contact Us