【药物名称】Quinacainol, PK-10139
化学结构式(Chemical Structure):
参考文献No.65168
标题:Quinacainol
作者:Casta馿r, J.; Serradell, M.N.; Koch, H.
来源:Drugs Fut 1984,9(4),273
合成路线图解说明:

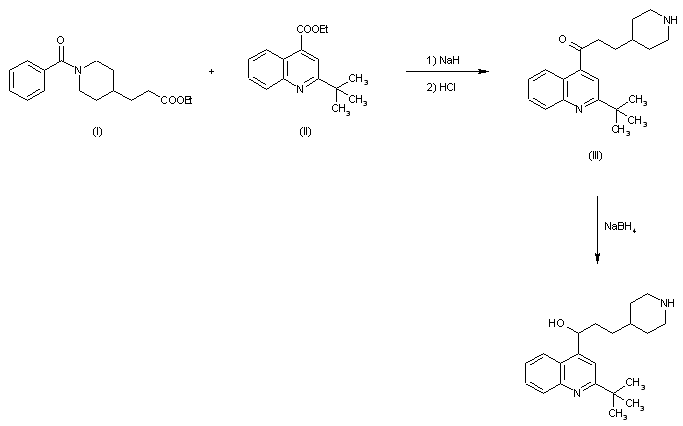
The condensation of ethyl 3-(1-benzoyl-4-piperidyl)propionate (I) with ethyl 2-tert-butylquinoline-4-carboxylate (II) by means of NaH in refluxing THF gives 1-[4-(2-tert-butylquinolyl)]-3-(4-piperidyl)-1-propanone (III), which is then reduced with NaBH4 and NaOCH3 in methanol.

参考文献No.701157
标题:Medicaments based on derivatives of 1-(4-quinolyl)-2-(4-piperidyl)ethanol or 1-(4-quinolyl)-3-(4-piperidyl)propanol
作者:Gueremy, C.G.A.; Mestre, M.A.P.; Renault, C.L.A.
来源:EP 0053964; FR 2495470; US 4613607
合成路线图解说明:

The condensation of ethyl 3-(1-benzoyl-4-piperidyl)propionate (I) with ethyl 2-tert-butylquinoline-4-carboxylate (II) by means of NaH in refluxing THF gives 1-[4-(2-tert-butylquinolyl)]-3-(4-piperidyl)-1-propanone (III), which is then reduced with NaBH4 and NaOCH3 in methanol.

Drug Information Express,Drug R&D,Chemical Database,Patent Search.
Copyright © 2006-2026 Drug Future. All rights reserved.Contact Us