【药物名称】Pirlimycin hydrochloride, U-57930E
化学结构式(Chemical Structure):
参考文献No.47445
标题:Novel antibiotics, their preparation and their use
作者:Birkenmeyer, R.D. (Pharmacia Corp.)
来源:BE 0886301
合成路线图解说明:

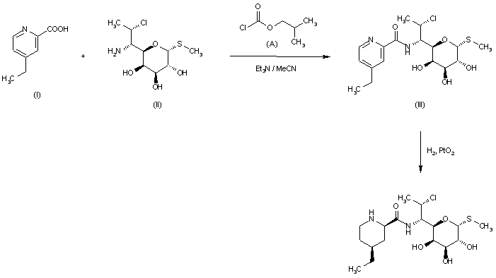
The condensation of 4-ethylpyridine-2-carboxylic acid (I) with methyl-6-amino-7-chloro-6,7,8-trideoxy-1-thio-L-threo-alpha-D-galacto-octopyranoside (II) by means of isobutyl chloroformate (A) and triethylamine in acetonitrile gives the corresponding amide (III), which is then hydrogenated with H2 over PtO2 in methanol - water - HCl.

参考文献No.800352
标题:Pirlimycin hydrochloride
作者:Hillier, K.; Serradell, M.N.; Blancafort, P.; Casta馿r, J.
来源:Drugs Fut 1983,8(4),338
合成路线图解说明:

The condensation of 4-ethylpyridine-2-carboxylic acid (I) with methyl-6-amino-7-chloro-6,7,8-trideoxy-1-thio-L-threo-alpha-D-galacto-octopyranoside (II) by means of isobutyl chloroformate (A) and triethylamine in acetonitrile gives the corresponding amide (III), which is then hydrogenated with H2 over PtO2 in methanol - water - HCl.

Drug Information Express,Drug R&D,Chemical Database,Patent Search.
Copyright © 2006-2026 Drug Future. All rights reserved.Contact Us