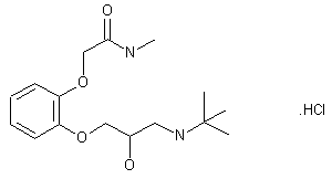
【药物名称】Cetamolol hydrochloride, ICI-72222(free base), AI-27303
化学结构式(Chemical Structure):
参考文献No.65201
标题:Cetamolol hydrochloride
作者:Hillier, K.; Casta馿r, J.; Blancafort, P.; Serradell, M.N.
来源:Drugs Fut 1983,8(4),305
合成路线图解说明:

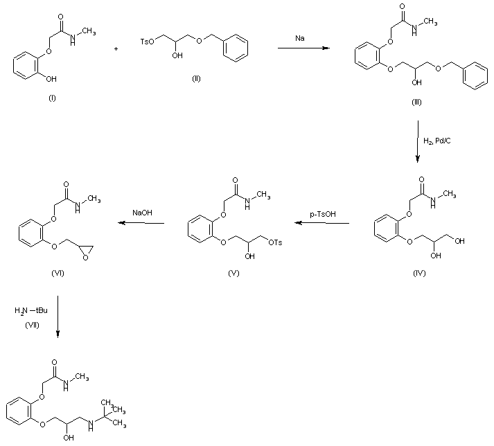
The condensation of 2-(N-methylcarbamoylmethoxy)phenol (I) with 3-benzyloxy-1-(p-toluenesulfonyloxy)-2-propanol (II) by means of Na in refluxing methoxyethanol gives 3 benzyloxy-1-[2-(N-methylcarbamoylmethoxy)phenoxy]-2-propanol (III), which is debenzylated by hydrogenolysis with H2 over Pd/C in methanol yielding 1-[2-(N-methylcarbamoylmethoxy)phenoxy]-2,3-propanediol (IV). The tosylation of (IV) with tosyl chloride in pyridine affords 1-[2-(N-methylcarbamoylmethoxy)phenoxy]-3-tosyloxy-2-propanol (V), which by treatment with NaOH in water is converted into 1-[2-(N-methylcarbamoylmethoxy)phenoxy]-2,3-epoxypropane (VI). Finally, this compound is treated with tertbutylamine in refluxing tert-butanol.

参考文献No.701233
标题:
作者:Tucker, H.
来源:FR 2250752
合成路线图解说明:

The condensation of 2-(N-methylcarbamoylmethoxy)phenol (I) with 3-benzyloxy-1-(p-toluenesulfonyloxy)-2-propanol (II) by means of Na in refluxing methoxyethanol gives 3 benzyloxy-1-[2-(N-methylcarbamoylmethoxy)phenoxy]-2-propanol (III), which is debenzylated by hydrogenolysis with H2 over Pd/C in methanol yielding 1-[2-(N-methylcarbamoylmethoxy)phenoxy]-2,3-propanediol (IV). The tosylation of (IV) with tosyl chloride in pyridine affords 1-[2-(N-methylcarbamoylmethoxy)phenoxy]-3-tosyloxy-2-propanol (V), which by treatment with NaOH in water is converted into 1-[2-(N-methylcarbamoylmethoxy)phenoxy]-2,3-epoxypropane (VI). Finally, this compound is treated with tertbutylamine in refluxing tert-butanol.

Drug Information Express,Drug R&D,Chemical Database,Patent Search.
Copyright © 2006-2026 Drug Future. All rights reserved.Contact Us