【药物名称】Pirmenol hydrochloride, CI-845, Pimenol, Pimavar
化学结构式(Chemical Structure):
参考文献No.46971
标题:Antiarrhythmic (+,-)-cis- alpha [3-(2,6-dimethyl-1-piperidinyl)propyl]-alpha-phenyl-2-pyridinemethanols
作者:Fleming, R.W. (Pfizer Inc.)
来源:US 4112103
合成路线图解说明:

The reaction of gamma-chlorobutyrophenone (I) with ethylene glycol (II) by means of p-toluenesulfonic acid in refluxing benzene gives the corresponding ethylene ketal (III), which is condensed with cis-2,6-dimethylpiperidine (IV) by means of Na and heat, and hydrolyzed with concentrated HCl yielding gamma-(cis-2,6-dimethyl-1-piperidyl)butyrophenone (V). Finally, this compound is condensed with 2-bromopyridine (VI) by means of butyllithium in THF.

合成路线图解说明:

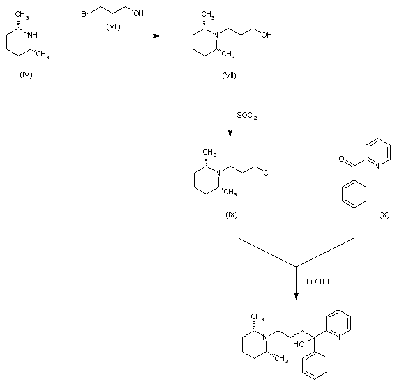
The reaction of dimethylpiperidine (IV) with 3-bromopropanol (VII) in refluxing xylene gives 1-(3-hydroxypropyl)-2,6-cis-dimethylpiperidine (VIII), which by treatment with SOCl2 in refluxing benzene is converted into 1-(3-chloropropyl)-2,6-cis-dimethylpiperidine (IX). Finally, this compound is condensed with 2-benzoylpyridine (X) by means of Li in THF.

参考文献No.64821
标题:Pirmenol hydrochloride
作者:Blancafort, P.; Serradell, M.N.; Casta馿r, J.; Hillier, K.
来源:Drugs Fut 1981,6(4),234
合成路线图解说明:

The reaction of gamma-chlorobutyrophenone (I) with ethylene glycol (II) by means of p-toluenesulfonic acid in refluxing benzene gives the corresponding ethylene ketal (III), which is condensed with cis-2,6-dimethylpiperidine (IV) by means of Na and heat, and hydrolyzed with concentrated HCl yielding gamma-(cis-2,6-dimethyl-1-piperidyl)butyrophenone (V). Finally, this compound is condensed with 2-bromopyridine (VI) by means of butyllithium in THF.

合成路线图解说明:

The reaction of dimethylpiperidine (IV) with 3-bromopropanol (VII) in refluxing xylene gives 1-(3-hydroxypropyl)-2,6-cis-dimethylpiperidine (VIII), which by treatment with SOCl2 in refluxing benzene is converted into 1-(3-chloropropyl)-2,6-cis-dimethylpiperidine (IX). Finally, this compound is condensed with 2-benzoylpyridine (X) by means of Li in THF.

Drug Information Express,Drug R&D,Chemical Database,Patent Search.
Copyright © 2006-2026 Drug Future. All rights reserved.Contact Us