【药物名称】Fleroxacin, Ro-23-6240/000, Ro-236240, AM-833, Megalocin, Megalosin, Megalone, Quinodis
化学结构式(Chemical Structure):
参考文献No.46486
标题:Quinoline carboxylic acid derivatives and process for the preparation
作者:Irikura, T.; Koga, H.; Murayama, S. (Kyorin Pharmaceutical Co., Ltd.)
来源:BE 0887574; DE 3106013; FR 2499990; FR 2507183; US 4398029
合成路线图解说明:

The reaction of 6,7,8-trifluoro-1,4-dihydro-4-oxoquinoline-3-carboxylic acid (I) with 1-bromo-2-fluoroethane (II) by means of NaI in hot DMF gives 6,7,8-trifluoro-1-(2-fluoroethyl)-1,4-dihydro-4-oxoquinoline-3-carboxylic acid (III), which is then condensed with N-methylpiperazine (IV) in refluxing pyridine.

参考文献No.64825
标题:AM-833
作者:Serradell, M.N.; Casta馿r, J.
来源:Drugs Fut 1984,9(4),246
合成路线图解说明:

The reaction of 6,7,8-trifluoro-1,4-dihydro-4-oxoquinoline-3-carboxylic acid (I) with 1-bromo-2-fluoroethane (II) by means of NaI in hot DMF gives 6,7,8-trifluoro-1-(2-fluoroethyl)-1,4-dihydro-4-oxoquinoline-3-carboxylic acid (III), which is then condensed with N-methylpiperazine (IV) in refluxing pyridine.

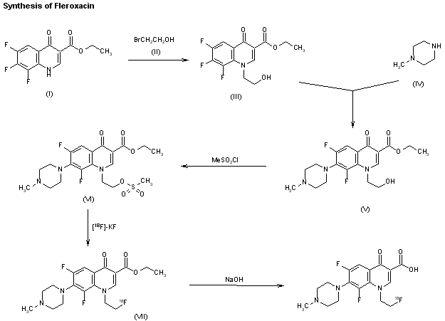
参考文献No.199857
标题:Fleroxacin, a quinolone antibacterial agent. Labeling with fluorine-18 for pharmacokinetic studies
作者:Liu, Y.Y.; Cleeland, R.; Livni, E.; Rubin, R.H.; Thom, E.; Strauss, H.W.; Fischman, A.J.
来源:J Label Compd Radiopharm 1993,32576
合成路线图解说明:

A new synthesis of fleroxacin, labeled with fluorine-18, has been described: The reaction of 6,7,8-trifluoro-4-oxo-1,4-dihydroquinoline-3-carboxylic acid ethyl ester (I) with 2-bromoethanol (II) gives 6,7,8-trifluoro-1-(2-hydroxyethyl)-4-oxo-1,4-dihydroquinoline-3-carboxylic acid ethyl ester (III), which is condensed with N-methylpiperazine (IV), yielding 6,8-difluoro-1-(2-hydroxyethyl)-7-(4-methylpiperazin-1-yl)-4-oxo-1,4-dihydroquinoline-3-carboxylic acid ethyl ester (V). The reaction of (V) with methanesulfonyl chloride affords the corresponding mesylate (VI), which is treated with [18F]-KF in dichloromethane at 80 C to give 6,8-difluoro-1-(2-fluoroethyl)-7-(4-methylpiperazin-1-yl)-4-oxo-1,4-dihydroquinoline-3-carboxylic acid ethyl ester (VII). Finally, this compound is hydrolyzed with NaOH.

Drug Information Express,Drug R&D,Chemical Database,Patent Search.
Copyright © 2006-2026 Drug Future. All rights reserved.Contact Us