【药物名称】Butaclamol hydrochloride, AY-23028
化学结构式(Chemical Structure):
参考文献No.64761
标题:Butaclamol
作者:Chatterjee, S.S.; Casta馿r, J.
来源:Drugs Fut 1976,1(4),171
合成路线图解说明:

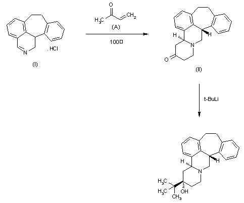
By reaction of methyl vinyl ketone (A) with 1,7,8,12b-tetrahydrobenzo[1,2] cyclohepta[3,4,5-d,e]isoquinoline hydrochloride (I) at 100 C to give trans-1,2,4,4a,8,9,13b,14-octahydro-3H-benzo[6,7]cyclopenta[1,2,3-d,e]pyrido[2,1-a]isoquinolin-3-one (II), m.p. 163-5 C, which is alkylated with tert-butyllithium in benzene.

参考文献No.607984
标题:Neuroleptic agents of the benzocycloheptapyridoisoquinoline series. 1. Synthesis and stereochemical ans structural requirements for activity of butaclamol and related compounds
作者:Bruderlein, T.F.; Humber, L.G.
来源:J Med Chem 1975,18(2),186
合成路线图解说明:

By reaction of methyl vinyl ketone (A) with 1,7,8,12b-tetrahydrobenzo[1,2] cyclohepta[3,4,5-d,e]isoquinoline hydrochloride (I) at 100 C to give trans-1,2,4,4a,8,9,13b,14-octahydro-3H-benzo[6,7]cyclopenta[1,2,3-d,e]pyrido[2,1-a]isoquinolin-3-one (II), m.p. 163-5 C, which is alkylated with tert-butyllithium in benzene.

参考文献No.800704
标题:The synthesis and sterreo-chemistry of teclamine hydrochloride, a novel psychotropic agent
作者:Bruderlein, T.F.; et al.
来源:Can J Chem 1974,522119
合成路线图解说明:

By reaction of methyl vinyl ketone (A) with 1,7,8,12b-tetrahydrobenzo[1,2] cyclohepta[3,4,5-d,e]isoquinoline hydrochloride (I) at 100 C to give trans-1,2,4,4a,8,9,13b,14-octahydro-3H-benzo[6,7]cyclopenta[1,2,3-d,e]pyrido[2,1-a]isoquinolin-3-one (II), m.p. 163-5 C, which is alkylated with tert-butyllithium in benzene.

参考文献No.800705
标题:N-[(10,11-dihydro-5H-dibenzo[a,d]cyclohepten-5-yl)methyl]amides
作者:Bruderlein, T.F.; Humber, L.G.
来源:FR 2081498; GB 1341109; US 3657250; US 3914305
合成路线图解说明:

By reaction of methyl vinyl ketone (A) with 1,7,8,12b-tetrahydrobenzo[1,2] cyclohepta[3,4,5-d,e]isoquinoline hydrochloride (I) at 100 C to give trans-1,2,4,4a,8,9,13b,14-octahydro-3H-benzo[6,7]cyclopenta[1,2,3-d,e]pyrido[2,1-a]isoquinolin-3-one (II), m.p. 163-5 C, which is alkylated with tert-butyllithium in benzene.

Drug Information Express,Drug R&D,Chemical Database,Patent Search.
Copyright © 2006-2026 Drug Future. All rights reserved.Contact Us