【药物名称】Cilostazol, OPC-21, OPC-13013, Pletaal, Pletal
化学结构式(Chemical Structure):
参考文献No.46757
标题:Tetrazolylalkoxycarbostyril derivatives and pharmaceutical compositions containing them
作者:Nishi, T.; Nakagawa, K. (Otsuka Pharmaceutical Co., Ltd.)
来源:DE 2934747; FR 2434809; GB 2033893; JP 55035019; US 4277479
合成路线图解说明:

By reaction of N-[(4-chlorobutyl)carbonyl]cyclohexylamine (I) first with PCl5 and then with NH3 in benzene to give 1-cyclohexyl-5-(4-chlorobutyl)tetrazole (II), which is treated with 6-hydroxy-3,4-dihydrocarbostyril (III) and 1,5-diazabicyclo[5.4.0]undecene-5 (DBU) in ethanol. Alternatively, the condensation can be performed by means of either NaOH, KOH or KOH / K2CO3 in a great variety of solvents.

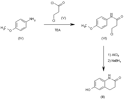
参考文献No.51426
标题:Processes for preparing 6-hydroxy-3,4-dihydroquinolinone, cilostazol and N-(4-methoxyphenyl)-3-chloropropionamide
作者:Mendelovici, M.; Nidam, T.; Pilarsky, G. (Teva Pharmaceutical Industries Ltd.; Teva Pharmaceuticals USA, Inc.)
来源:WO 0170697
合成路线图解说明:

The condensation of p-anisidine (IV) with 3-chloropropionyl chloride (V) by means of TEA in hot toluene, hot 2-butanone or DMF gives the corresponding amide (VI), which is then cyclized by means of AlCl3 in N,N-dimethylacetamide at 150-60 C and treated with NaBH4 in water to yield the desired 6-hydroxy-1,2,3,4-tetrahydroquinolin-2-one intermediate (III).

参考文献No.54115
标题:Processes for preparing cilostazol
作者:Finkelstein, N.; Mendelovichi, M.; Pilarksi, G. (Teva Pharmaceutical Industries Ltd.; Teva Pharmaceuticals USA, Inc.)
来源:WO 0214283
合成路线图解说明:

By reaction of N-[(4-chlorobutyl)carbonyl]cyclohexylamine (I) first with PCl5 and then with NH3 in benzene to give 1-cyclohexyl-5-(4-chlorobutyl)tetrazole (II), which is treated with 6-hydroxy-3,4-dihydrocarbostyril (III) and 1,5-diazabicyclo[5.4.0]undecene-5 (DBU) in ethanol. Alternatively, the condensation can be performed by means of either NaOH, KOH or KOH / K2CO3 in a great variety of solvents.

参考文献No.62287
标题:OPC-13,013
作者:Blancafort, P.; Serradell, M.N.; Hillier, K.; Casta馿r, J.
来源:Drugs Fut 1982,7(4),264
合成路线图解说明:

By reaction of N-[(4-chlorobutyl)carbonyl]cyclohexylamine (I) first with PCl5 and then with NH3 in benzene to give 1-cyclohexyl-5-(4-chlorobutyl)tetrazole (II), which is treated with 6-hydroxy-3,4-dihydrocarbostyril (III) and 1,5-diazabicyclo[5.4.0]undecene-5 (DBU) in ethanol. Alternatively, the condensation can be performed by means of either NaOH, KOH or KOH / K2CO3 in a great variety of solvents.

Drug Information Express,Drug R&D,Chemical Database,Patent Search.
Copyright © 2006-2026 Drug Future. All rights reserved.Contact Us