【药物名称】Binodalina, Binedaline, Sgd-Sch-1059, Scha-1059
化学结构式(Chemical Structure):
参考文献No.47489
标题:N-Amino indole derivatives having pharmacological activity
作者:Schatz, F.; et al. (Siegfried AG)
来源:US 4204998
合成路线图解说明:

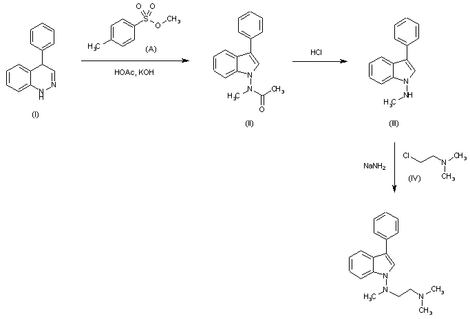
The reaction of 1,4-dihydro-4-phenylcinnoline (I) with methyl p-toluenesulfonate (A) and acetic acid by means of KOH in refluxing toluene gives 1-(N-methyl-N-acetylamino)-3-phenylindole (II), which is hydrolyzed by treatment with refluxing concentrated HCl to afford 1-methylamino-3-phenylindole (III). Finally, this compound is condensed with 2-dimethylaminoethyl chloride (IV) by means of sodium amide in refluxing toluene.

参考文献No.65148
标题:Binodaline
作者:Hillier, K.; Casta馿r, J.; Blancafort, P.; Serradell, M.N.
来源:Drugs Fut 1981,6(4),212
合成路线图解说明:

The reaction of 1,4-dihydro-4-phenylcinnoline (I) with methyl p-toluenesulfonate (A) and acetic acid by means of KOH in refluxing toluene gives 1-(N-methyl-N-acetylamino)-3-phenylindole (II), which is hydrolyzed by treatment with refluxing concentrated HCl to afford 1-methylamino-3-phenylindole (III). Finally, this compound is condensed with 2-dimethylaminoethyl chloride (IV) by means of sodium amide in refluxing toluene.

参考文献No.604509
标题:Amino-3-phenylindoles with antidepressant activity. Binodaline hydrochloride and relatd compounds
作者:Schatz, F.; et al.
来源:Arzneim-Forsch Drug Res 1980,30(6),919-923
合成路线图解说明:

The reaction of 1,4-dihydro-4-phenylcinnoline (I) with methyl p-toluenesulfonate (A) and acetic acid by means of KOH in refluxing toluene gives 1-(N-methyl-N-acetylamino)-3-phenylindole (II), which is hydrolyzed by treatment with refluxing concentrated HCl to afford 1-methylamino-3-phenylindole (III). Finally, this compound is condensed with 2-dimethylaminoethyl chloride (IV) by means of sodium amide in refluxing toluene.

Drug Information Express,Drug R&D,Chemical Database,Patent Search.
Copyright © 2006-2026 Drug Future. All rights reserved.Contact Us