【药物名称】Mefenidil, McN-2378-46(fumarate), McN-2378
化学结构式(Chemical Structure):
参考文献No.64773
标题:McN-2378
作者:Blancafort, P.; Hillier, K.; Serradell, M.N.; Casta馿r, J.
来源:Drugs Fut 1982,7(4),262
合成路线图解说明:

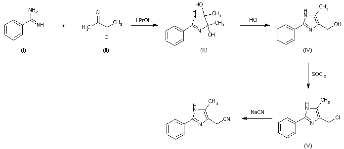
The cyclization of benzamidine (I) with biacetyl (II) in water - isopropanol gives 4,5-dimethyl-2-phenylimidazoline-4,5-diol (III), which by treatment with refluxing aqueous 10% HCl is converted into 4-hydroxymethyl-2-phenyl-5-methylimidazole (IV). The reaction of (IV) with SOCl2 in refluxing benzene yields 4-chloromethyl-2-phenyl-5-methylimidazole (V), which is finally treated with NaCN in DMSO - water.

参考文献No.701310
标题:2-Aryl-4-cyanomethyl-5-methylimidazoles
作者:Rasmussen, C.R.
来源:DE 2528640; FR 2296627; FR 2309540; FR 2309541; GB 1502142; JP 51034159; US 4093811
合成路线图解说明:

The cyclization of benzamidine (I) with biacetyl (II) in water - isopropanol gives 4,5-dimethyl-2-phenylimidazoline-4,5-diol (III), which by treatment with refluxing aqueous 10% HCl is converted into 4-hydroxymethyl-2-phenyl-5-methylimidazole (IV). The reaction of (IV) with SOCl2 in refluxing benzene yields 4-chloromethyl-2-phenyl-5-methylimidazole (V), which is finally treated with NaCN in DMSO - water.

Drug Information Express,Drug R&D,Chemical Database,Patent Search.
Copyright © 2006-2026 Drug Future. All rights reserved.Contact Us