【药物名称】Vinconate, OM-853(HCl), OC-340, Brenal
化学结构式(Chemical Structure):
参考文献No.46484
标题:Indole derivatives and therapeutically acting drugs
作者:Hannart, J.A.A.J. (OmniChem)
来源:BE 0870887; DE 2842418; FR 2404639; GB 2005267; JP 7988300; JP 8331352; US 4200638
合成路线图解说明:

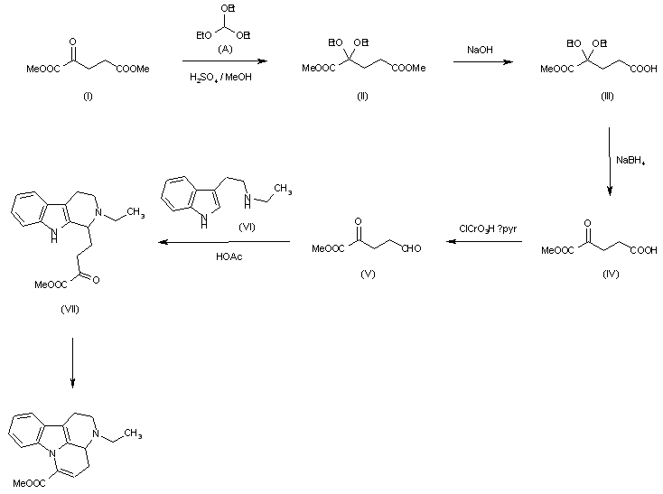
The reaction of methyl-2-oxoglutarate (I) with triethyl orthoformate (A) by means of H2SO4 in refluxing methanol gives methyl 2,2-diethoxyglutarate (II), which is hydrolyzed partially with NaOH in water yielding methyl 2,2-diethoxy-4-carboxybutanoate (III). The reduction of (III) with NaBH4 and BF3 ethearate affords methyl 5-hydroxy-2-oxopentanoate (IV). The controlled oxidation of (IV) with pyridinium chlorochromate and sodium acetate in methylene chloride gives methyl 2,5-dioxopentanoate (V), which is condensed with N-ethyltryptamine (VI) by means of acetic acid in refluxing benzene yielding the tricyclic ketoester (VII). Finally, this compound cyclizes again spontaneously.

参考文献No.65225
标题:Vinconate
作者:Casta馿r, J.; Serradell, M.N.
来源:Drugs Fut 1984,9(4),283
合成路线图解说明:

The reaction of methyl-2-oxoglutarate (I) with triethyl orthoformate (A) by means of H2SO4 in refluxing methanol gives methyl 2,2-diethoxyglutarate (II), which is hydrolyzed partially with NaOH in water yielding methyl 2,2-diethoxy-4-carboxybutanoate (III). The reduction of (III) with NaBH4 and BF3 ethearate affords methyl 5-hydroxy-2-oxopentanoate (IV). The controlled oxidation of (IV) with pyridinium chlorochromate and sodium acetate in methylene chloride gives methyl 2,5-dioxopentanoate (V), which is condensed with N-ethyltryptamine (VI) by means of acetic acid in refluxing benzene yielding the tricyclic ketoester (VII). Finally, this compound cyclizes again spontaneously.

Drug Information Express,Drug R&D,Chemical Database,Patent Search.
Copyright © 2006-2026 Drug Future. All rights reserved.Contact Us