【药物名称】Viprostol, CL-115347
化学结构式(Chemical Structure):
参考文献No.46453
标题:Novel prostaglandin compounds
作者:Middlenton, B.F.; Martin, J.W.; Grudzinskas, C.V.; Chen, S.L. (American Cyanamid Co.)
来源:ES 475787; FR 2410648; GB 2009173; US 4198521
合成路线图解说明:

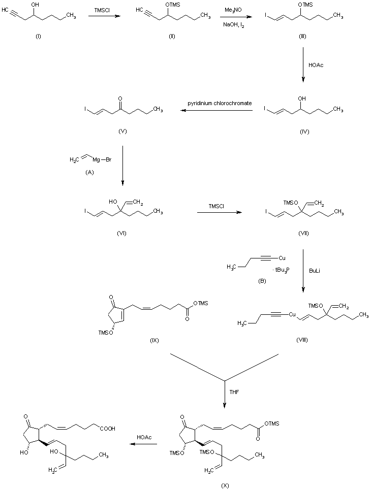
The reaction of 4-hydroxy-1-octyne (I), with chlorotrimethylsilane and imidazole in DMF gives 4-trimethylsilyloxy-1-octyne (II), which is converted into 1-iodo-4-trimethylsilyloxy-trans-1-octene (III) by reaction with bis(3-methyl-2-butyl)borane (A), trimethylamine oxide, NaOH and finally I2. The hydrolysis of (III) with acetic acid in THF affords 1-iodo-4-hydroxy-trans-1-octene (IV), which is oxidized with pyridinium chlorochromate in methylene chloride yielding 1-iodo-4-oxo-trans-1-octene (V). The Grignard reaction of (V) with vinylmagnesium bromide (B) in THF gives 4-hydroxy-4-vinyl-1-iodo-trans-1-octene (VI), which is protected with trimethylsilyl chloride as before yielding 4-trimethylsilyloxy-4-vinyl-1-iodo-trans-1-octene (VII). The reaction of (VII) with tert-butyllithium in ether and then with copper (1)-1-pentyne-tributylphosphine (C) in HMPT affords the copper salt (VIII), which is condensed with 2-(6-trimethylsilyloxycarbonyl-2-cis-hexenyl)-4-trimethylsilyloxycyclopent-2-en-1-one (IX) in ether - THF giving trimethylsilyl-9-oxo-11alpha,16-bistrimethylsilyloxy-16-vinyl-5-cis-13-trans-prostadienoate (X). The hydrolysis of (X) with acetic acid in THF-water yields 9-oxo-11alpha,16-dihydroxy-16-vinyl-5-cis-13-trans-prostadienoic acid (XI), which is finally methylated with diazomethane in ether.

合成路线图解说明:

The reaction of 4-hydroxy-1-octyne (I) with chlorotrimethylsilane and imidazole in DMF gives 4-trimethylsilyloxy-1-octyne (II), which is converted to 1-iodo-4-trimethylsilyloxy-trans-1-octene (III) by reaction with bis(3-methyl-2-butyl)borane, trimethylamine oxide, NaOH and finally I2. The hydrolysis of (III) with acetic acid in THF affords 1-iodo-4-hydroxy-trans-1-octene (IV), which is oxidized with pyridinium chlorochromate in methylene chloride yielding 1-iodo-4-oxo-trans-1-octene (V). The Grignard condensation of (V) with vinylmagnesium bromide in THF gives 4 hydroxy-4-vinyl-1-iodo-trans-1-octene (VI), which is protected with trimethylsilyl chloride as before yielding 4-trimethylsilyloxy-4-vinyl-1-iodo-trans-1-octene (VII). The reaction of (VII) with tert-butyllithium in ether and then with copper(I)-1-pentyne-tributylphosphine in HMPT affords the copper salt (VIII), which is condensed with 2-(6-trimethylsilyloxycarbonyl)-2-cis-hexenyl)-4-trimethylsilyloxycyclopent-2-en-1-one (IX) in ether-THF giving trimethylsilyl-9-oxo-11 alpha,16-bis(trimethylsilyloxy)-16-vinyl-5-cis-13-trans-prostadienoate (X). Finally, this compound is hydrolyzed with acetic acid in THF water.

参考文献No.65146
标题:CL-115,347
作者:Hillier, K.; Blancafort, P.; Serradell, M.N.; Casta馿r, J.
来源:Drugs Fut 1983,8(4),307
合成路线图解说明:

The reaction of 4-hydroxy-1-octyne (I), with chlorotrimethylsilane and imidazole in DMF gives 4-trimethylsilyloxy-1-octyne (II), which is converted into 1-iodo-4-trimethylsilyloxy-trans-1-octene (III) by reaction with bis(3-methyl-2-butyl)borane (A), trimethylamine oxide, NaOH and finally I2. The hydrolysis of (III) with acetic acid in THF affords 1-iodo-4-hydroxy-trans-1-octene (IV), which is oxidized with pyridinium chlorochromate in methylene chloride yielding 1-iodo-4-oxo-trans-1-octene (V). The Grignard reaction of (V) with vinylmagnesium bromide (B) in THF gives 4-hydroxy-4-vinyl-1-iodo-trans-1-octene (VI), which is protected with trimethylsilyl chloride as before yielding 4-trimethylsilyloxy-4-vinyl-1-iodo-trans-1-octene (VII). The reaction of (VII) with tert-butyllithium in ether and then with copper (1)-1-pentyne-tributylphosphine (C) in HMPT affords the copper salt (VIII), which is condensed with 2-(6-trimethylsilyloxycarbonyl-2-cis-hexenyl)-4-trimethylsilyloxycyclopent-2-en-1-one (IX) in ether - THF giving trimethylsilyl-9-oxo-11alpha,16-bistrimethylsilyloxy-16-vinyl-5-cis-13-trans-prostadienoate (X). The hydrolysis of (X) with acetic acid in THF-water yields 9-oxo-11alpha,16-dihydroxy-16-vinyl-5-cis-13-trans-prostadienoic acid (XI), which is finally methylated with diazomethane in ether.

合成路线图解说明:

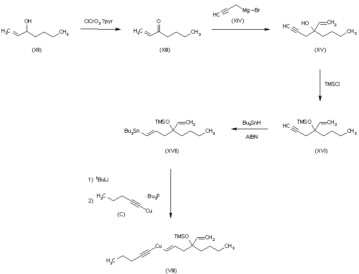
The oxidation of 1-hepten-3-ol (XII) with pyridinium chlorochromate gives 1-hepten-3-one (XIII), which by a Grignard condensation with propargylmagnesium bromide (XIV) is converted into 4-hydroxy-4-vinyl-1-octyne (XV). The protection of (XV) with trimethylsilyl chloride and imidazole in DMF yields 4-trimethylsilyloxy-4-vinyl-1-octyne (XVI), which by reaction with tri-n-butyl-stannane and azobisisobutyronitrile at 125 C affords 1-(tri-n-butylstannyl)-4-vinyl-4-(trimethylsilyloxy)-1-octene (XVII). Finally, this compound by reaction with butyllithium and copper -1-pentyne-tributylphosphine (C) in HMPT yields the copper salt (VIII), already obtained.

参考文献No.607570
标题:Prostaglandins and congeners. 29. (16RS)-Rac-15-deoxy-16-hydroxy-16-vivyl-protaglandin E2, an orally and transdermally active hypotensive agent of prolonged duration
作者:Bimbaum, J.E.; Cervoni, P.; Chan, P.S.; Chen, S.L.; Floyd, M.B.; Grudzinkas, C.V.; Weiss, M.J.; Dessy, F.
来源:J Med Chem 1982,25(5),492-494
合成路线图解说明:

The oxidation of 1-hepten-3-ol (XII) with pyridinium chlorochromate gives 1-hepten-3-one (XIII), which by a Grignard condensation with propargylmagnesium bromide (XIV) is converted into 4-hydroxy-4-vinyl-1-octyne (XV). The protection of (XV) with trimethylsilyl chloride and imidazole in DMF yields 4-trimethylsilyloxy-4-vinyl-1-octyne (XVI), which by reaction with tri-n-butyl-stannane and azobisisobutyronitrile at 125 C affords 1-(tri-n-butylstannyl)-4-vinyl-4-(trimethylsilyloxy)-1-octene (XVII). Finally, this compound by reaction with butyllithium and copper -1-pentyne-tributylphosphine (C) in HMPT yields the copper salt (VIII), already obtained.

合成路线图解说明:

The oxidation of 1-hepten-3-ol (XI) with pyridinium chlorochromate gives 1-hepten-3-one (XIII), which by a Grignard condensation with propargylmagnesium bromide (XIII) is converted to 4-hydroxy-4-vinyl-1-octyne (XIV). The protection of (XIV) with trimethylsilyl chloride and imidazole as before yields 4-trimethylsilyloxy-4-vinyl-1-octyne (XV), which by reaction with tri-n-butylstannane and azobisisobutyronitrile at 125 C affords 1-(tri-n-butylstannyl)-4-vinyl-4-(trimethylsilyloxy)-1-octene (XVI). Finally, this compound, by reaction with butyllithium and copper(I)-1-pentyne tributylphosphine as before yields the copper salt (VIII), which is condensed with 2-(6-trimethylsilyloxycarbonyl)-2-cis-hexenyl)-4-trime-thylsilyloxycyclopent-2-en-1-one (IX) in ether-THF giving trimethylsilyl-9-oxo-11 alpha,16-bis(trimethylsilyloxy)-16-vinyl-5-cis-13-trans-prostadienoate (X). Finally, this compound is hydrolyzed with acetic acid in THF water.

Drug Information Express,Drug R&D,Chemical Database,Patent Search.
Copyright © 2006-2026 Drug Future. All rights reserved.Contact Us