【药物名称】Acivicin, U-42126, NSC-163501, ACIA, AT-125
化学结构式(Chemical Structure):
参考文献No.800360
标题:Stereospecific total synthesis of the natural antitumor agent, (alphaS,5S)-alpha-maino-3-chloro-4,5-dihydro-5-isooxazoleacetic acid and its unnatural C-5 epimer
作者:Holladay, M.W.; Silverman, R.B.
来源:J Am Chem Soc 1981,103(24),7357-58
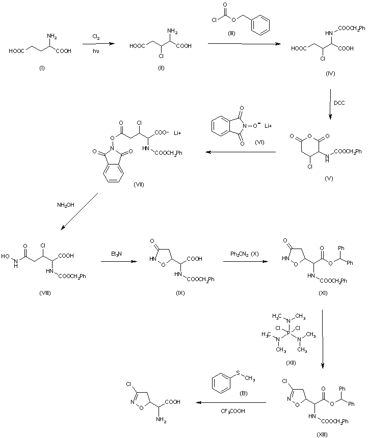
合成路线图解说明:

A new procedure for the synthesis of acivicin has been reported: The photochlorination of L-glutamic acid (I) gives 3-chloroglutamic acid (II); the corresponding diastereomers were separed by ion-exchange chromatography over Dowex-50 (H+). The reaction of (II) with benzyl chloroformate (III) affords N-carbobenzoxy-3-chloroglutamic acid (IV), which is anhydrized with dicyclohexylcarbodiimide to the corresponding protected anhydride (V). The reaction of (V) with lithium N-hydroxyphthalimide (VI) yields the phthalimidoxy derivative (VII), which is converted to the protected hydroxamic acid (VIII) by a treatment with hydroxylamine. The cyclization of (VIII) with triethylamine affords N-carbobenzoxytricholomic acid (IX), which is esterified with diphenyldiazomethane (X) giving the corresponding protected benzhydryl ester (Xl). The reaction of (XI) with dichloro-trisdimethylaminophosphorane (XII) yields the deprotected final compound (XIII), which is finally treated with trifluoroacetic acid and thioanisole (A).

Drug Information Express,Drug R&D,Chemical Database,Patent Search.
Copyright © 2006-2026 Drug Future. All rights reserved.Contact Us