【药物名称】Cinpropazide
化学结构式(Chemical Structure):
参考文献No.47823
标题:Derivatives of 1-(3,4,5-trimethoxycinnamoyl)piperazineand process for their preparation
作者:Fauren, C.; et al. (Laboratoires Delalande)
来源:BE 0730345; FR 2007372; GB 1218591; US 3634411
合成路线图解说明:

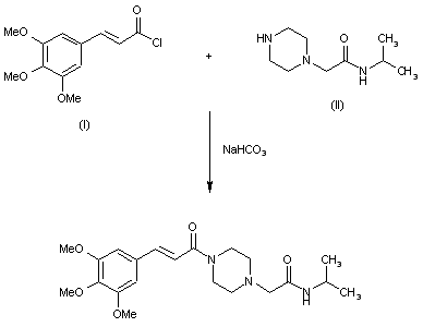
By condensation of 3,4,5-trimethoxycinnamoyl chloride (I) with isopropylaminocarbonylmethylpiperazine (II) by means of NaHCO3 in refluxing benzene.

参考文献No.65207
标题:Cinpropazide
作者:Prous, J.R.; Casta馿r, J.
来源:Drugs Fut 1976,1(4),175
合成路线图解说明:

By condensation of 3,4,5-trimethoxycinnamoyl chloride (I) with isopropylaminocarbonylmethylpiperazine (II) by means of NaHCO3 in refluxing benzene.

Drug Information Express,Drug R&D,Chemical Database,Patent Search.
Copyright © 2006-2026 Drug Future. All rights reserved.Contact Us