【药物名称】Pergolide mesylate, LY-141-B(free base), LY-127809, Pharken, Nopar, Parkotil, Celance, Permax
化学结构式(Chemical Structure):
参考文献No.10262
标题:6-N-Propyl-8-methoxymethyl or methylmercaptomethylergolines and related compounds
作者:Kornfeld, E.C.; Bach, N.J. (Eli Lilly and Company)
来源:AT 371817B; DD 141928; EP 0003667; FR 2416891; GB 2014140; US 4166182
合成路线图解说明:

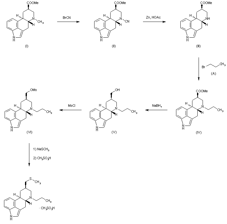
The reaction of methyl dihydro-lysergate (I) with cyanogen bromide in methylene chloride gives 6-cyano-8beta-methoxycarbonylergoline (II), which is treated with Zn dust and acetic acid - water to afford 8beta-methoxycarbonylergoline (III). The alkylation of (III) with propyl bromide (A) and potassium carbonate in DMF yields 6-n-propyl-8beta-methoxycarbonylergoline (IV), which is reduced with NaBH4 in dioxane - methanol to 6-n-propyl-8beta-hydroxymethylergoline (V). The mesylation of (V) with mesyl chloride in pyridine gives 6-n-propyl-8beta-mesyloxymethylergoline (VI), which is finally treated with sodium methylmercaptide in dimethylacetamide and with methanesulfonic acid.

参考文献No.22326
标题:One-pot process for preparing pergolide
作者:Misner, J.W. (Eli Lilly and Company)
来源:EP 0571202
合成路线图解说明:

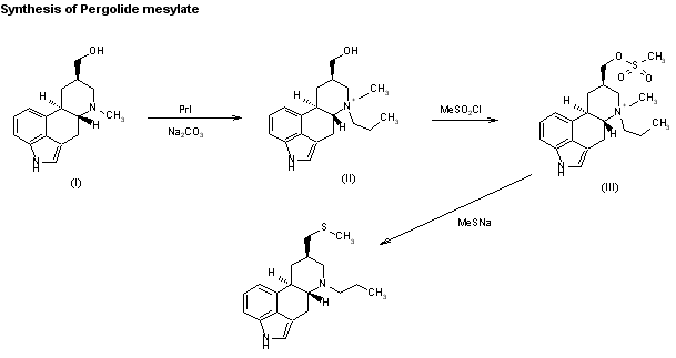
A new synthesis of pergolide has been reported: The alkylation of 8,9-dihydroelymoclavine (I) with propyl iodide and Na2CO3 in N-methylpyrrolidone gives the quaternary compound (II), which is mesylated with MeSO2Cl in pyridine yielding the mesyl ester (III). Finally, (III) is treated with sodium methylmercaptide in N-methylpyrrolidone.

参考文献No.64819
标题:Pergolide mesylate
作者:Serradell, M.N.; Casta馿r, J.; Blancafort, P.; Owen, R.T.
来源:Drugs Fut 1981,6(4),231
合成路线图解说明:

The reaction of methyl dihydro-lysergate (I) with cyanogen bromide in methylene chloride gives 6-cyano-8beta-methoxycarbonylergoline (II), which is treated with Zn dust and acetic acid - water to afford 8beta-methoxycarbonylergoline (III). The alkylation of (III) with propyl bromide (A) and potassium carbonate in DMF yields 6-n-propyl-8beta-methoxycarbonylergoline (IV), which is reduced with NaBH4 in dioxane - methanol to 6-n-propyl-8beta-hydroxymethylergoline (V). The mesylation of (V) with mesyl chloride in pyridine gives 6-n-propyl-8beta-mesyloxymethylergoline (VI), which is finally treated with sodium methylmercaptide in dimethylacetamide and with methanesulfonic acid.

参考文献No.562889
标题:Integration of a highly selective demethylation of a qaternized ergoline into a one-pot synthesis of pergolide
作者:Misner, J.W.; et al.
来源:Org Process Res Dev 1997,1(1),77
合成路线图解说明:

A new synthesis of pergolide has been reported: The alkylation of 8,9-dihydroelymoclavine (I) with propyl iodide and Na2CO3 in N-methylpyrrolidone gives the quaternary compound (II), which is mesylated with MeSO2Cl in pyridine yielding the mesyl ester (III). Finally, (III) is treated with sodium methylmercaptide in N-methylpyrrolidone.

合成路线图解说明:

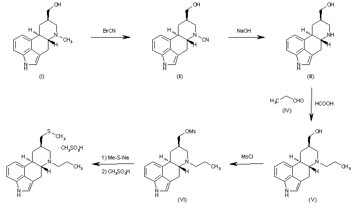
The reaction of dihydrolysergol (I) with BrCN in DMF gives the N-cyano derivative (II), which is treated with NaOH in ethylene glycol yielding the demethylated compound (III). The reductive alkylation of (III) with propionaldehyde (IV) and formic acid in DMF affords the propyl derivative (V), which is mesylated with MsCl and pyridine giving the mesylate (VI). Finally, this compound is treated with sodium methylthiolate and MsOH.

参考文献No.642430
标题:Simple and selective one-pot replacement of the N-methyl group of tertiary amines by quaternization and demethylation with sodium sulfide or potassium thioacetate: An application to the synthesis of pergolide
作者:Anastasia, L.; et al.
来源:J Chem Soc - Perkins Trans I 2001,(19),2398
合成路线图解说明:

The reaction of dihydrolysergol (I) with propyl iodide (II) in hot sulfolane gives the quaternary salt (III), which is treated with Na2S in the same solvent, yielding the propyl derivative (IV). The reaction of (IV) with mesyl chloride and pyridine affords the corresponding mesylate (V), which is finally treated with commercial Na-S-CH3 in DMF to afford the target methylsulfanyl derivative.

Drug Information Express,Drug R&D,Chemical Database,Patent Search.
Copyright © 2006-2026 Drug Future. All rights reserved.Contact Us