【药物名称】Ly-134046
化学结构式(Chemical Structure):
参考文献No.65191
标题:LY-134046
作者:Serradell, M.N.; Casta馿r, J.
来源:Drugs Fut 1984,9(4),268
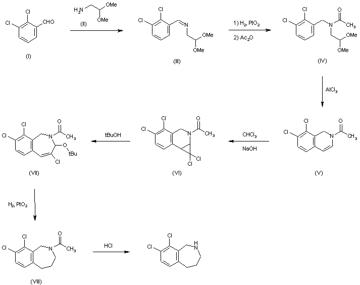
合成路线图解说明:

The condensation of 2,3-dichlorobenzaldehyde (I) with 2,2-dimethoxyethylamine (II) in refluxing toluene gives the corresponding Schiff base (III), which is reduced with H2 over PtO2 in ethyl acetate and acetylated with acetic anhydride yielding N-(2,3-dichlororobenzyl)-N-(2,2-dimethoxyethyl)acetamide (IV). The cyclization of (IV) with AlCl3 in dichloroethane affords 7,8-dichloro-2-acetyl-1,2-dihydroisoquinoline (V), which is submitted to cyclopropanation with CHCl3, NaOH and benzyltriethylammonium chloride giving 1,1,4,5-tetrachloro-2-acetyl-1a,2,3,7b-tetrahydro-1H-cycloprop[c]isoquinoline (VI). Ring opening of (VI) by refluxing with tert-butyl alcohol yields 2-acetyl-3-(tert-butoxy)-4,8,9-trichloro-2,3-dihydro-1H-2-benzazepine (VII), which is reduced with H2 over PtO2 in methanol affording 2-acetyl-8,9-dichloro 2,3,4,5-tetrahydro-1H-2-benzazepine (VIII). Finally, this compound is desacetylated by means of refluxing aqueous HCl.

合成路线图解说明:

The diazotation of 2,3-dichloroaniline (IX) with NaNO2 and HCl gives the corresponding diazonium chloride (X), which by a Sandmeyer reaction with CuCN yields 2,3-dichlorophenyl cyanide (XI). The Grignard reaction of (XI) with methylmagnesium bromide (A) in ether affords 2,3-dichloroacetophenone (XII), which by a Willgerodt reaction with S and morpholine is converted into 2,3-dichlorophenylacetic acid (XIII). The reaction of (XIII) with oxalyl chloride (B) in carbon tetrachloride affords the corresponding acyl chloride (XIV), which is cyclized with ethylene (C) by means of AlCl3 in methylene chloride yielding 7,8-dichloro-2-tetralone (XV). The reaction of (XV) with sodium azide in CHCl3 by means of H2SO4 gives 8,9-dichloro-2-benzazepin-3-one (XVI), which is finally reduced with diborane in THF.

合成路线图解说明:

By a Friedel-Kraft's cyclization of N-(2,3-dichlorobenzyl)-3-bromopropylamine (XVII) by means of AlCl3 in decalin at 150 C.

参考文献No.142224
标题:A regioselective synthesis of 8,9-dichloro-2,3,4,5-tetrahydro-1H-2-benzazepine (LY134046), a potent phenylethanolamine N-methyltransferase inhibitor
作者:Paradkar, V.M.; Grunewald, G.L.
来源:Bioorg Med Chem Lett 1991,1(1),59-60
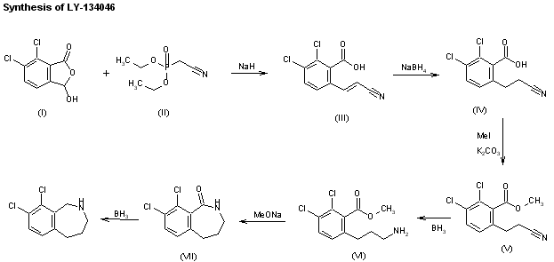
合成路线图解说明:

A new synthesis for LY-134046 has been described: The reaction of 6,7-dichloro-3-hydroxyphthalide (I) with diethyl cyanomethylphosphonate (II) by means of NaH in dimethoxyethane gives 2-carboxy-3,4-dichlorocinnamonitrile (III), which is reduced with NaBH4 in refluxing isopropanol to yield 3-(2-carboxy-3,4-dichlorophenyl)propionitrile (IV). The esterification of (IV) with methyl iodide and K2CO3 affords the cyano ester (V), which is reduced with BH3 in THF giving 6-(3-aminopropyl)-2,3-dichlorobenzoic acid methyl ester (VI). The cyclization of (VI) by means of sodium methoxide in methanol yields 8,9-dichloro-2,3,4,5-tetrahydro-1H-2-benzazepin-1-one (VII), which is finally reduced with BH3 in refluxing THF.

参考文献No.701163
标题:Chlorinated tetrahydro-2-benzazepines, N-methyl transferase inhibitors
作者:Molloy, B.B.
来源:CA 1119592
合成路线图解说明:

The diazotation of 2,3-dichloroaniline (IX) with NaNO2 and HCl gives the corresponding diazonium chloride (X), which by a Sandmeyer reaction with CuCN yields 2,3-dichlorophenyl cyanide (XI). The Grignard reaction of (XI) with methylmagnesium bromide (A) in ether affords 2,3-dichloroacetophenone (XII), which by a Willgerodt reaction with S and morpholine is converted into 2,3-dichlorophenylacetic acid (XIII). The reaction of (XIII) with oxalyl chloride (B) in carbon tetrachloride affords the corresponding acyl chloride (XIV), which is cyclized with ethylene (C) by means of AlCl3 in methylene chloride yielding 7,8-dichloro-2-tetralone (XV). The reaction of (XV) with sodium azide in CHCl3 by means of H2SO4 gives 8,9-dichloro-2-benzazepin-3-one (XVI), which is finally reduced with diborane in THF.

参考文献No.701164
标题:Chlorinated tetrahydro-2-benzazepines, N-methyl transferase inhibitors
作者:Molloy, B.B.
来源:CA 1122528
合成路线图解说明:

By a Friedel-Kraft's cyclization of N-(2,3-dichlorobenzyl)-3-bromopropylamine (XVII) by means of AlCl3 in decalin at 150 C.

参考文献No.800299
标题:Facile synthesis of halo-substituted tetrahydroisoquinolines and tetrahydro-2-benzazepines via N-acetyl-1,2-dihydroisoquinolines
作者:Perchonock, C.D.; Lantos, I.; Holden, K.G.; Finkelstei, J.A.
来源:J Org Chem 1980,45(10),1950-53
合成路线图解说明:

The condensation of 2,3-dichlorobenzaldehyde (I) with 2,2-dimethoxyethylamine (II) in refluxing toluene gives the corresponding Schiff base (III), which is reduced with H2 over PtO2 in ethyl acetate and acetylated with acetic anhydride yielding N-(2,3-dichlororobenzyl)-N-(2,2-dimethoxyethyl)acetamide (IV). The cyclization of (IV) with AlCl3 in dichloroethane affords 7,8-dichloro-2-acetyl-1,2-dihydroisoquinoline (V), which is submitted to cyclopropanation with CHCl3, NaOH and benzyltriethylammonium chloride giving 1,1,4,5-tetrachloro-2-acetyl-1a,2,3,7b-tetrahydro-1H-cycloprop[c]isoquinoline (VI). Ring opening of (VI) by refluxing with tert-butyl alcohol yields 2-acetyl-3-(tert-butoxy)-4,8,9-trichloro-2,3-dihydro-1H-2-benzazepine (VII), which is reduced with H2 over PtO2 in methanol affording 2-acetyl-8,9-dichloro 2,3,4,5-tetrahydro-1H-2-benzazepine (VIII). Finally, this compound is desacetylated by means of refluxing aqueous HCl.

Drug Information Express,Drug R&D,Chemical Database,Patent Search.
Copyright © 2006-2026 Drug Future. All rights reserved.Contact Us