【药物名称】Ozagrel sodium, Xanbon, Cataclot
化学结构式(Chemical Structure):
参考文献No.46054
标题:Imidazole derivative
作者:Iizuka, K.; Akahane, K.; Kamijo, Y.; Momose, D.; Matsumoto, A.; Yukiyoshi, O. (Kissei Pharmaceutical Co., Ltd.; Ono Pharmaceutical Co., Ltd.)
来源:DE 2923815; GB 2025946; US 4226878
合成路线图解说明:

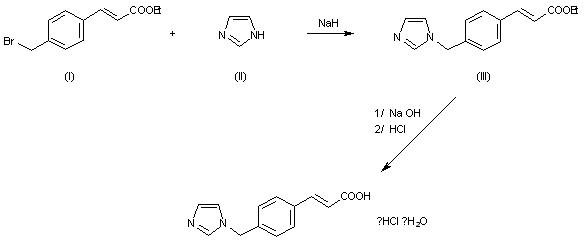
The condensation of ethyl 4-(bromomethyl)cinnamate (I) with imidazole (II) by means of NaH in DMF give ethyl 4-(1-imidazolylmethyl)cinnamate (III), wich is hydrolyzed with NaOH in methanol - water, and acidified with HCl.

合成路线图解说明:

The condensation of ethyl 4-(bromomethyl) cinnamate (I) with imidazole (II) by means of NaH in DMF gives ethyl 4-(1-imidazolylmethyl) cinnamate (III), which is hydrolyzed with NaOH in methanol / water, and acidified with HCl.

参考文献No.62315
标题:OKY-046
作者:Blancafort, P.; Serradell, M.N.; Pento, J.T.; Casta馿r, J.
来源:Drugs Fut 1983,8(4),328
合成路线图解说明:

The condensation of ethyl 4-(bromomethyl)cinnamate (I) with imidazole (II) by means of NaH in DMF give ethyl 4-(1-imidazolylmethyl)cinnamate (III), wich is hydrolyzed with NaOH in methanol - water, and acidified with HCl.

合成路线图解说明:

The condensation of ethyl 4-(bromomethyl) cinnamate (I) with imidazole (II) by means of NaH in DMF gives ethyl 4-(1-imidazolylmethyl) cinnamate (III), which is hydrolyzed with NaOH in methanol / water, and acidified with HCl.

参考文献No.800102
标题:The protaglandins: A family of biologically active lipids
作者:Bergstrom, S.; Carlson, L.A.; Weeks, J.R.
来源:J Med Chem 1981,24(10),409-412
合成路线图解说明:

The condensation of ethyl 4-(bromomethyl)cinnamate (I) with imidazole (II) by means of NaH in DMF give ethyl 4-(1-imidazolylmethyl)cinnamate (III), wich is hydrolyzed with NaOH in methanol - water, and acidified with HCl.

合成路线图解说明:

The condensation of ethyl 4-(bromomethyl) cinnamate (I) with imidazole (II) by means of NaH in DMF gives ethyl 4-(1-imidazolylmethyl) cinnamate (III), which is hydrolyzed with NaOH in methanol / water, and acidified with HCl.

Drug Information Express,Drug R&D,Chemical Database,Patent Search.
Copyright © 2006-2026 Drug Future. All rights reserved.Contact Us