【药物名称】Moexipril hydrochloride, RS-10085-197, SPM-925, RS-10085(free base), CI-925, Femipres, Uniretic, Primoxil, Perdix, Univasc
化学结构式(Chemical Structure):
参考文献No.10820
标题:Substituted acyl derivatives of 1,2,3,4-tetrahydroisoquinoline-3-carboxylic acids
作者:Hoefle, M.L.; Klutchko, S. (Pfizer Inc.)
来源:DD 201787; EP 0049605; EP 0096157; US 4344949
合成路线图解说明:

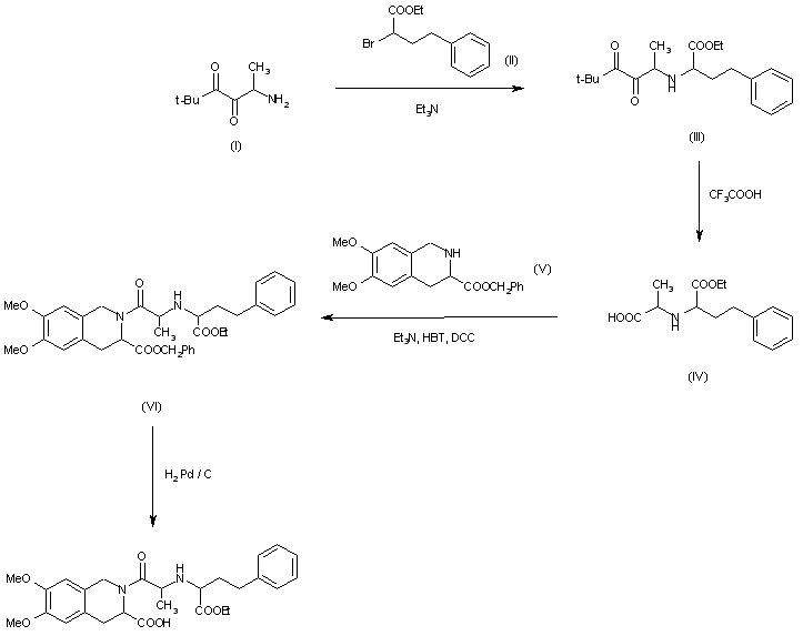
The condensation of tert-butylalanine (I) with ethyl 2-bromo-4-phenylbutanoate (II) by means of triethylamine in hot DMF gives N-[1-(ethoxycarbonyl)-3-phenylpropyl]alanine tert-butyl ester (III), which is hydrolyzed with trifluoroacetic acid to the corresponding N-substituted alanine (IV). The condensation of (IV) with benzyl 1,2,3,4-tetrahydro-6,7-dimethoxyisoquinoline-3-carboxylate (V) by means of triethylamine, 1-hydroxybenzotriazole (HBT) and dicyclohexylcarbodiimide (DCC) in methylene chloride affords benzyl 2-[N-[1-(ethoxycarbonyl)-3-phenylpropyl]alanyl]-1,2,3,4-tetrahydro-6,7-di-methoxyisoquinoline-3-carboxylate (VI), which is finally debenzylated by hydrogenation with H2 over Pd/C in THF.

合成路线图解说明:

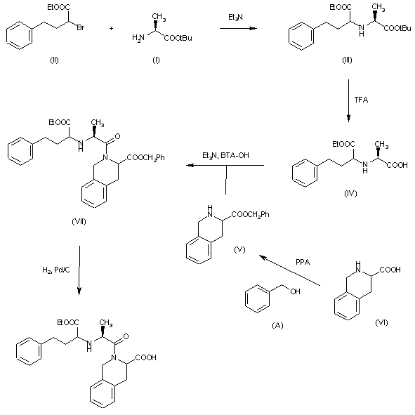
The condensation of alanine tert-butyl ester (I) with ethyl 2-bromo-4-phenylbutanoate (II) by means of triethylamine in hot DMF gives ethyl 2-[[1-(tert-butoxycarbonyl)ethyl]amino]-4-phenylbutanoate (III), which is partially hydrolyzed with trifluoroacetic acid yielding ethyl 2-[[1-carboxyethyl]amino]-4-phenylbutanoate (IV). The condensation of (IV) with benzyl 1,2,3,4-tetrahydroisoquinoline-3-carboxylate (V) [prepared from the corresponding acid (VI) and benzyl alcohol (A) by means of polyphosphoric acid] by means of triethylamine and 1-hydroxybenzotriazole affords benzyl 2-[2-[[1-(ethoxycarbonyl)-3-phenylpropyl]amino]-1-oxopropyl]-1,2,3,4-tetrahydroisoquinoline-3-carboxylate (VII), which is finally debenzylated by hydrogenolysis with H2 over Pd/C in THF.

合成路线图解说明:

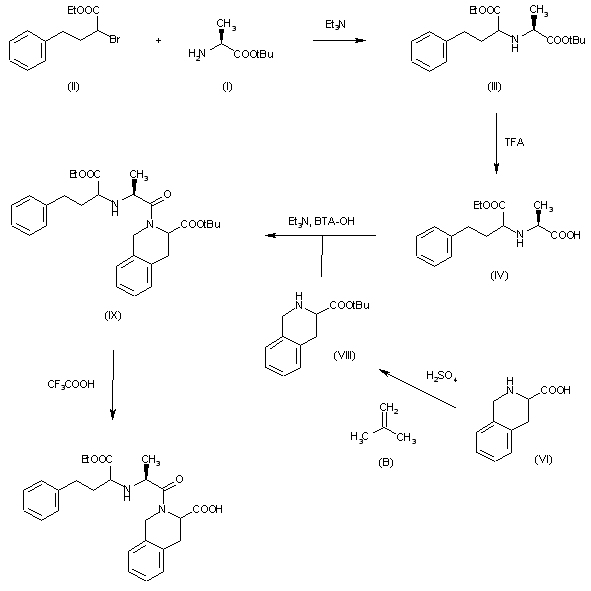
The condensation of alanine tert-butyl ester (I) with ethyl 2-bromo-4-phenylbutanoate (II) by means of triethylamine in hot DMF gives ethyl 2-[[1-(tert-butoxycarbonyl)ethyl]amino]-4-phenylbutanoate (III), which is partially hydrolyzed with trifluoroacetic acid yielding ethyl 2-[[1-carboxyethyl]amino]-4-phenylbutanoate (IV). The condensation of (IV) with tert-butyl-1,2,3,4-tetrahydroisoquinoline-3-carboxylate (VIII) [prepared from the corresponding acid (VI) and isobutylene (B) by means of H2SO4] as before gives tert-butyl-2-[2-[[1-(ethoxycarbonyl)-3-phenylpropyl]amino]-1-oxopropyl]-1,2,3,4-tetrahydroisoquinoline-3-carboxylate (IX), which is finally hydrolyzed partially by treatment with trifluoroacetic acid.

参考文献No.65205
标题:CI-925
作者:Prous, J.; Casta馿r, J.
来源:Drugs Fut 1986,11(4),257
合成路线图解说明:

The condensation of tert-butylalanine (I) with ethyl 2-bromo-4-phenylbutanoate (II) by means of triethylamine in hot DMF gives N-[1-(ethoxycarbonyl)-3-phenylpropyl]alanine tert-butyl ester (III), which is hydrolyzed with trifluoroacetic acid to the corresponding N-substituted alanine (IV). The condensation of (IV) with benzyl 1,2,3,4-tetrahydro-6,7-dimethoxyisoquinoline-3-carboxylate (V) by means of triethylamine, 1-hydroxybenzotriazole (HBT) and dicyclohexylcarbodiimide (DCC) in methylene chloride affords benzyl 2-[N-[1-(ethoxycarbonyl)-3-phenylpropyl]alanyl]-1,2,3,4-tetrahydro-6,7-di-methoxyisoquinoline-3-carboxylate (VI), which is finally debenzylated by hydrogenation with H2 over Pd/C in THF.

Drug Information Express,Drug R&D,Chemical Database,Patent Search.
Copyright © 2006-2026 Drug Future. All rights reserved.Contact Us