【药物名称】Nabumetone, BRL-14777, Nabuser, Listran, Relafen, Relifen, Arthaxan, Relifex
化学结构式(Chemical Structure):
参考文献No.46009
标题:1-(p-Methoxy-p-hydroxy, and p-benzyloxybenzoyl)-2-pyrrolidinones
作者:Kyburz, E.; Aschwanden, W. (F. Hoffmann-La Roche AG)
来源:DD 141828; EP 0005143; EP 0044088; ES 477587; ES 483756; JP 54117468
合成路线图解说明:

The silylation of 4-acetoxy-2-pyrrolidone (I) with trimethylchlorosilane (II) by means of triethyl amine in THF gives the corresponding N-trimethylsilyl derivative (III), which is condensed with 4-methoxybenzoyl chloride (IV) by means of NaHCO3 in THF yielding 1-(4-methoxybenzoyl)pyrrolin-2-one (V). Finally, this compound is reduced with H2 over Pd/C in ethyl acetate.

合成路线图解说明:

The condensation of 4-aminobutyric acid (VI) with acid chloride (IV) by means of NaOH in water gives 4-(4-methoxybenzoylamino)butyric acid (VII), which is then cyclized by means of P2O5 in phosphoric acid.

合成路线图解说明:

The condensation of 6-methoxy-2-naphthaldehyde (I) with acetone by means of NaOH in water gives 4-(6-methoxy-2-naphtyl)-3-buten-2-one (II), which is reduced with H2 over Pd/C in ethyl acetate.

参考文献No.46344
标题:A1 14777 by hydrogenation
作者:Rose, C.J.; Miller, D. (SmithKline Beecham plc)
来源:CA 1134384
合成路线图解说明:

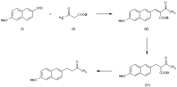
The condensation of 6-methoxy-2-naphthaldehyde (I) with ethyl aceto-acetate (II) gives ethyl 2-(6-methoxy-2-naphthylmethylene)acetoacetate (III), which is reduced to ethyl 2-(6-methoxy-2-naphthylmethyl)acetoacetate (IV). Finally, this compound is hydrolyzed and decarboxylated in acidic medium.

参考文献No.48893
标题:Method of preparation of nabumetone
作者:Davenport, K.G.; Aslam, M. (Celanese AG)
来源:EP 0376516
合成路线图解说明:

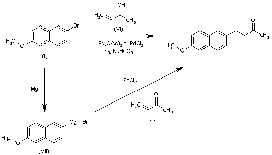
By condensation of 2-bromo-6-methoxynaphthalene (I) with 3-buten-2-ol (VI) catalyzed by Pd(OAc)2 or PdCl2, along with PPh3 and NaHCO3 in 1-methyl-2-pyrrolidone at 140 C. The reaction of 2-bromo-6-methoxynaphthalene (I) with Mg in THF gives the expected Grignard reagent (VII), which is then condensed with 3-buten-2-one (II) by means of ZnCl2-amine complex in the same solvent.

参考文献No.48894
标题:Use of 4-substd. 2-butanones to prepare nabumetone
作者:Fritch, J.R.; Rios, D.E.; Smith, J.C.; Aslam, M. (Celanese AG)
来源:WO 9640608
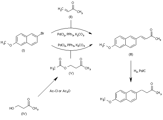
合成路线图解说明:

The condensation of 2-bromo-6-methoxynaphthalene (I) with 3-buten-2-one (II) by means of PdCl2, PPh3 and K2CO3 in DMF at 132 C gives 4-(6-methoxy-2-naphthyl)-3-buten-2-one (III), which is then hydrogenated with H2 over Pd/C in DMF. The same condensation can be performed with PdCl2 , PPh3 and NaHCO3 in 1-methyl-2-pyrrolidone at 130 C. The reaction of 4-hydroxy-2-butanone (IV) with acetic anhydride or acetyl chloride gives 4-acetyl-2-butanone (V), which is condensed with 2-bromo-6-methoxynaphthalene (I) by means of PdCl2, PPh3 and K2CO3 in DMF at 132 C to yield the previously reported 4-(6-methoxy-2-naphthyl)-3-buten-2-one (III).

参考文献No.49326
标题:Nabumetone
作者:Neuman, M.; Blancafort, P.; Casta馿r, J.; Serradell, M.N.
来源:Drugs Fut 1981,6(1),35
合成路线图解说明:

The condensation of 6-methoxy-2-naphthaldehyde (I) with acetone by means of NaOH in water gives 4-(6-methoxy-2-naphtyl)-3-buten-2-one (II), which is reduced with H2 over Pd/C in ethyl acetate.

合成路线图解说明:

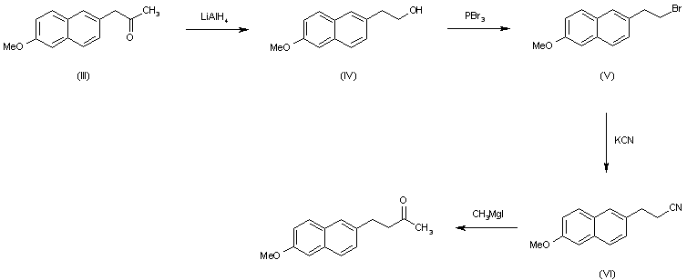
The reduction of methyl 6-methoxy-2-naphtyl acetate (III) with LiAlH4 in refluxing ether gives 2-(6-methoxy-2-naphthyl)ethanol (IV), which by treatment with PBr3 in refluxing benzene is converted into 2-(6-methoxy-2-naphthyl)ethyl bromide (V). The reaction of (V) with KCN in refluxing ethanol - water affords 3-(6-methoxy-2-naphthyl)propionitrile (VI), which is finally treated with methylmagnesium iodide in refluxing ethanol.

参考文献No.563500
标题:Process research and structural studies on nabumetone
作者:Nageshwar, D.; Devi, A.S.; Reddy, G.O.; Sarma, M.R.; Reddy, G.B.; Vyas, K.; Prabhakar, C.; Reddy, C.M.; Babu, J.M.
来源:Org Process Res Dev 1999,3(2),121
合成路线图解说明:

A short, simple and economical process for large-scale preparation of nabumetone has been reported: Condensation of commercially available 2-acetyl-6-methoxynaphthalene (2-acetylnaroline) (I) with ethyl acetate (II) by means of potassium sec-butoxide (sec-BuOK) in DMSO gives the ketoenol (III), which is reduced with H2 over Pd/C in ethyl acetate with a catalytic amount of sulfuric acid.

参考文献No.607179
标题:4-(6-Methoxy-2-naphtyl)butan-2-one and related analogues, a novel structural class of antiinflammatory compounds
作者:Goudie, A.C. Ert al.; Gaster, L.M.; Lake, A.W.; Rose, C.J.; Freeman, P.C.; Hughes, B.O.; Miller, D.B.
来源:J Med Chem 1978,21(12),1260
合成路线图解说明:

The condensation of 6-methoxy-2-naphthaldehyde (I) with acetone by means of NaOH in water gives 4-(6-methoxy-2-naphtyl)-3-buten-2-one (II), which is reduced with H2 over Pd/C in ethyl acetate.

合成路线图解说明:

The reduction of methyl 6-methoxy-2-naphtyl acetate (III) with LiAlH4 in refluxing ether gives 2-(6-methoxy-2-naphthyl)ethanol (IV), which by treatment with PBr3 in refluxing benzene is converted into 2-(6-methoxy-2-naphthyl)ethyl bromide (V). The reaction of (V) with KCN in refluxing ethanol - water affords 3-(6-methoxy-2-naphthyl)propionitrile (VI), which is finally treated with methylmagnesium iodide in refluxing ethanol.

参考文献No.608280
标题:Novel synthesis of nabumetone
作者:Wang, S.-M.; Chen, Z.-X.
来源:Chin J Pharm 1989,20(4),146
合成路线图解说明:

By condensation of 2-bromo-6-methoxynaphthalene (I) with 3-buten-2-ol (VI) catalyzed by Pd(OAc)2 or PdCl2, along with PPh3 and NaHCO3 in 1-methyl-2-pyrrolidone at 140 C. The reaction of 2-bromo-6-methoxynaphthalene (I) with Mg in THF gives the expected Grignard reagent (VII), which is then condensed with 3-buten-2-one (II) by means of ZnCl2-amine complex in the same solvent.

参考文献No.609729
标题:A study on the synthesis of a new anti-inflammatory agent - nabumetone
作者:Zhang, G.; et al.
来源:J Shenyang Coll Pharm 1988,5(4),259
合成路线图解说明:

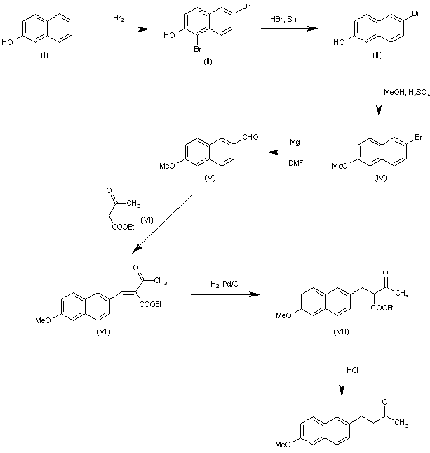
The bromination of beta-naphthol (I) gives the 1,6-dibromo-beta-naphthol (II), which is partially debrominated with Sn and BrH, yielding 1-bromo-beta-naphthol (III). The methylation of (III) with methanol/sulfuric acid affords the corresponding methyl ether (IV), which is treated with Mg and DMF to provide 6-methoxynaphthalene-2-carbaldehyde (V). The condensation of (V) with ethyl acetoacetate (VI) gives the expected adduct (VII), which is reduced with H2 over Pd/C to provide 2-acetyl-3-(6-methoxy-2-naphthyl)propionic acid ethyl ester (VIII). Finally, this compound is decarboxylated with aqueous HCl.

参考文献No.617304
标题:Convenient synthesis of nabumetone
作者:Aslam, M.; et al.
来源:Synthesis 1989,869
合成路线图解说明:

The condensation of 2-bromo-6-methoxynaphthalene (I) with 3-buten-2-one (II) by means of PdCl2, PPh3 and K2CO3 in DMF at 132 C gives 4-(6-methoxy-2-naphthyl)-3-buten-2-one (III), which is then hydrogenated with H2 over Pd/C in DMF. The same condensation can be performed with PdCl2 , PPh3 and NaHCO3 in 1-methyl-2-pyrrolidone at 130 C. The reaction of 4-hydroxy-2-butanone (IV) with acetic anhydride or acetyl chloride gives 4-acetyl-2-butanone (V), which is condensed with 2-bromo-6-methoxynaphthalene (I) by means of PdCl2, PPh3 and K2CO3 in DMF at 132 C to yield the previously reported 4-(6-methoxy-2-naphthyl)-3-buten-2-one (III).

合成路线图解说明:

By condensation of 2-bromo-6-methoxynaphthalene (I) with 3-buten-2-ol (VI) catalyzed by Pd(OAc)2 or PdCl2, along with PPh3 and NaHCO3 in 1-methyl-2-pyrrolidone at 140 C. The reaction of 2-bromo-6-methoxynaphthalene (I) with Mg in THF gives the expected Grignard reagent (VII), which is then condensed with 3-buten-2-one (II) by means of ZnCl2-amine complex in the same solvent.

Drug Information Express,Drug R&D,Chemical Database,Patent Search.
Copyright © 2006-2026 Drug Future. All rights reserved.Contact Us